Официальное опубликование правовых актов
ОФИЦИАЛЬНОЕ ОПУБЛИКОВАНИЕ
Постановление администрации Липецкой области от 02.12.2016 № 487
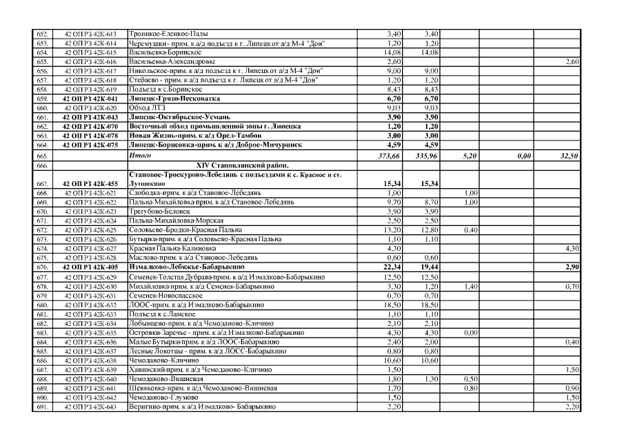
"О внесении изменения в постановление администрации Липецкой области от 23 декабря 2011 года № 456 "Об утверждении критериев отнесения автомобильных дорог общего пользования к автомобильным дорогам общего пользования регионального значения Липецкой области и Перечня автомобильных дорог общего пользования регионального значения Липецкой области"
Номер опубликования: 4800201612070012
Дата опубликования: 07.12.2016
Страница №18 из 24:
Увеличить