Официальное опубликование правовых актов
ОФИЦИАЛЬНОЕ ОПУБЛИКОВАНИЕ
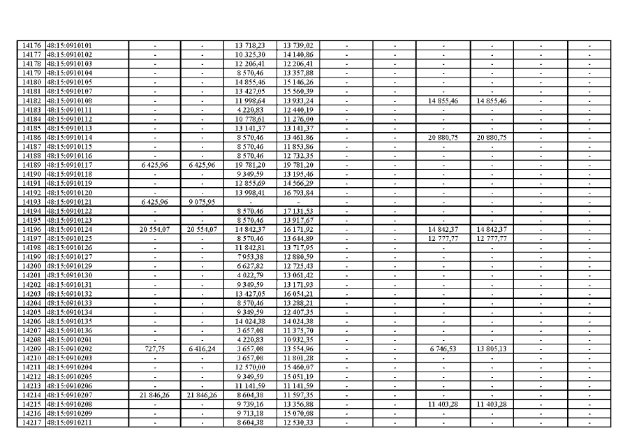
Приказ Управления имущественных и земельных отношений Липецкой области от 16.11.2016 № 80
"Об утверждении результатов определения кадастровой стоимости объектов недвижимости, за исключением земельных участков, на территории Липецкой области, средних удельных показателей кадастровой стоимости объектов недвижимости, за исключением земельных участков, по кадастровым кварталам на территории Липецкой области, минимальных удельных показателей кадастровой стоимости объектов недвижимости, за исключением земельных участков, для населенных пунктов, муниципальных районов и городских округов на территории Липецкой области"
Номер опубликования: 4800201611280001
Дата опубликования: 28.11.2016
Страница №13958 из 14133:
Увеличить