Официальное опубликование правовых актов
ОФИЦИАЛЬНОЕ ОПУБЛИКОВАНИЕ
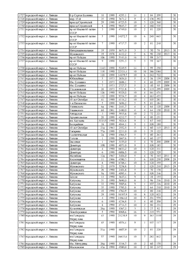
Постановление администрации Липецкой области от 25.04.2016 № 192
"О внесении изменений в постановление администрации Липецкой области от 28 ноября 2013 года №528 "Об утверждении областной программы капитального ремонта общего имущества в многоквартирных домах, расположенных на территории Липецкой области, на 2014 - 2043 годы"
Номер опубликования: 4800201604280004
Дата опубликования: 28.04.2016
Страница №76 из 103:
Увеличить