Официальное опубликование правовых актов
ОФИЦИАЛЬНОЕ ОПУБЛИКОВАНИЕ
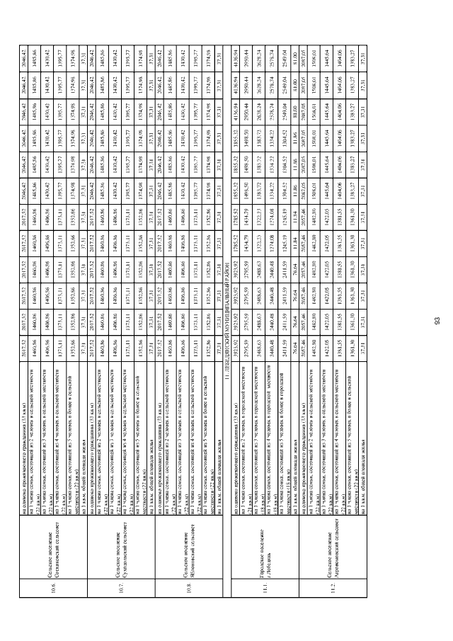
Постановление Липецкого областного Совета депутатов от 24.03.2016 № 1424-пс
"Об установлении размеров региональных стандартов стоимости жилищно-коммунальных услуг в Липецкой области на 2016 год"
Номер опубликования: 4800201603290007
Дата опубликования: 29.03.2016
Страница №93 из 182:
Увеличить