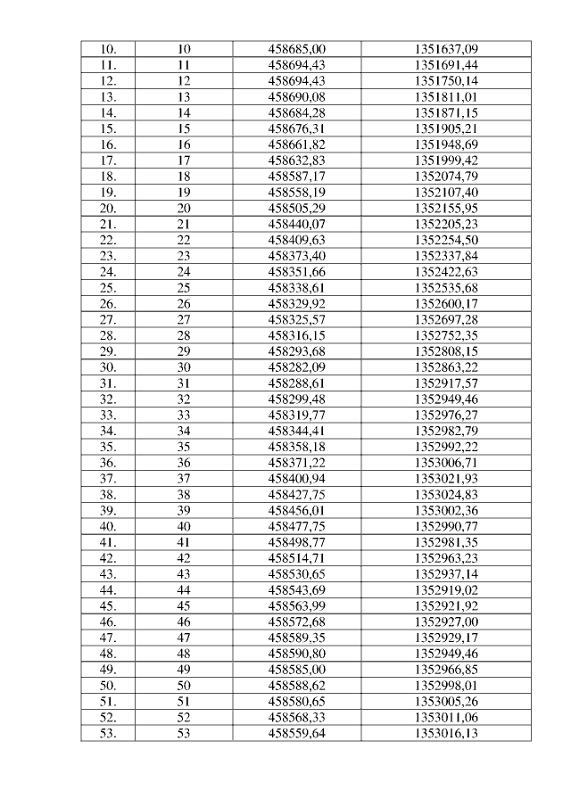
Постановление администрации Липецкой области от 22.09.2015 № 440
"Об утверждении площади и границ памятников природы регионального значения "Низовья балки Ягодновская", "Балка Паника", "Аннин лес", "Стрелецкий лес", "Долина р.Птань", "Пушкинская дача", "Хрущевская дача", "Долговское", "Солонец Цыганское озеро", "Болото Попово", "Болото Разрезное", "Добринские болота", "Озеро Андреевское", "Озеро Богородицкое", "Озеро Спасское", "Озеро Заланская лука", "Озеро Малое Остабное", "Озеро Большое Остабное", "Озеро Кривецкая Старица", "Болото Карасевка", "Болото Сосновка", "Донские беседы", "Долина р.Кобылья Снова", "Болото у с.Яковлево", "Тербунские песчаники", "Конь-камень", "Песчаники р.Олымчик", "Апухтинские песчаники", "Парк в с.Красное", "Низовья Каменного лога", "Каменная гора", "Круглянский затон", "Озеро Черная Мещерка"
"Об утверждении площади и границ памятников природы регионального значения "Низовья балки Ягодновская", "Балка Паника", "Аннин лес", "Стрелецкий лес", "Долина р.Птань", "Пушкинская дача", "Хрущевская дача", "Долговское", "Солонец Цыганское озеро", "Болото Попово", "Болото Разрезное", "Добринские болота", "Озеро Андреевское", "Озеро Богородицкое", "Озеро Спасское", "Озеро Заланская лука", "Озеро Малое Остабное", "Озеро Большое Остабное", "Озеро Кривецкая Старица", "Болото Карасевка", "Болото Сосновка", "Донские беседы", "Долина р.Кобылья Снова", "Болото у с.Яковлево", "Тербунские песчаники", "Конь-камень", "Песчаники р.Олымчик", "Апухтинские песчаники", "Парк в с.Красное", "Низовья Каменного лога", "Каменная гора", "Круглянский затон", "Озеро Черная Мещерка"
Номер опубликования: 4800201509240003
Дата опубликования:
24.09.2015
