Официальное опубликование правовых актов
ОФИЦИАЛЬНОЕ ОПУБЛИКОВАНИЕ
Постановление администрации Липецкой области от 29.05.2015 № 275
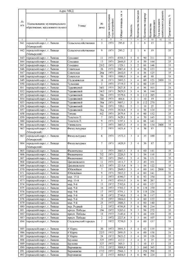
"О внесении изменений в постановление администрации Липецкой области от 28 ноября 2013 года № 528 "Об утверждении областной программы капитального ремонта общего имущества в многоквартирных домах, расположенных на территории Липецкой области, на 2014 - 2043 годы"
Номер опубликования: 4800201506040005
Дата опубликования: 04.06.2015
Страница №75 из 129:
Увеличить