Официальное опубликование правовых актов
ОФИЦИАЛЬНОЕ ОПУБЛИКОВАНИЕ
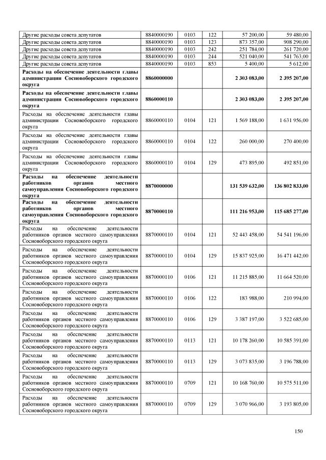
Решение Совета депутатов муниципального образования Сосновоборский городской округ Ленинградской области от 28.03.2018 № 56
"О внесении изменений в решение совета депутатов от 05.12.2017г. № 179 "О бюджете Сосновоборского городского округа на 2018 годи на плановый период 2019 и 2020 годов" (тестовое опубликование)
Номер опубликования: 4702201804180093
Дата опубликования: 18.04.2018
Страница №150 из 295:
Увеличить