Официальное опубликование правовых актов
ОФИЦИАЛЬНОЕ ОПУБЛИКОВАНИЕ
Постановление Администрации муниципального образования Лодейнопольский муниципальный район Ленинградской области от 13.03.2018 № 250
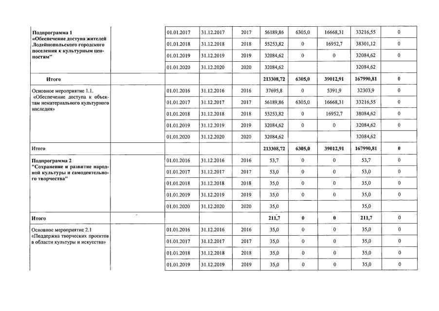
"О внесении изменений в постановление Администрации Лодейнопольского муниципального района от 23.10.2013 года № 2107 "Об утверждении муниципальной программы "Развитие культуры в Лодейнопольском городском поселении" (тестовое опубликование)
Номер опубликования: 4702201804180089
Дата опубликования: 18.04.2018
Страница №12 из 27:
Увеличить