Официальное опубликование правовых актов
ОФИЦИАЛЬНОЕ ОПУБЛИКОВАНИЕ
Постановление Администрации муниципального образования Лодейнопольский муниципальный район Ленинградской области от 13.03.2018 № 241
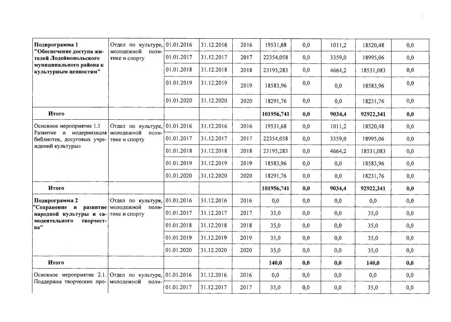
"О внесении изменений в постановление Администрации от 23.10.2013 года № 2106 "Об утверждении муниципальной программы "Развитие культуры в Лодейнопольском муниципальном районе Ленинградской области" (тестовое опубликование)
Номер опубликования: 4702201804180081
Дата опубликования: 18.04.2018
Страница №12 из 24:
Увеличить