Официальное опубликование правовых актов
ОФИЦИАЛЬНОЕ ОПУБЛИКОВАНИЕ
Постановление Администрации муниципального образования Сосновоборский городской округ Ленинградской области от 08.02.2018 № 262
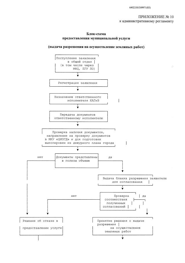
"Об утверждении административного регламента по предоставлению муниципальной услуги "Предоставление разрешения на осуществление земляных работ" (тестовое опубликование)
Номер опубликования: 4702201804180003
Дата опубликования: 18.04.2018
Страница №39 из 45:
Увеличить