Официальное опубликование правовых актов
ОФИЦИАЛЬНОЕ ОПУБЛИКОВАНИЕ
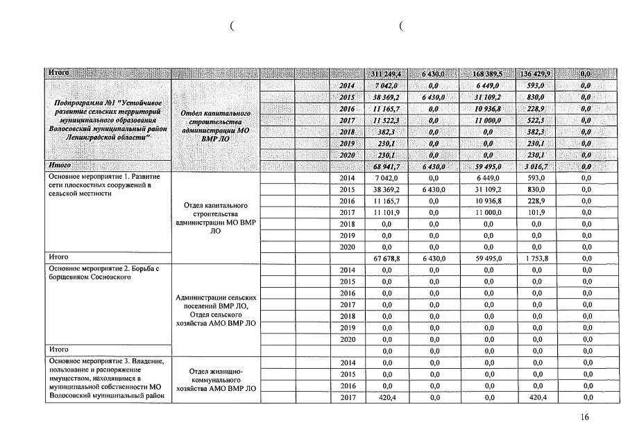
Постановление Администрации муниципального образования Волосовский муниципальный район Ленинградской области
от 06.02.2018 № 104
"О внесении изменений в муниципальную программу "Устойчивое развитие Волосовского муниципального района Ленинградской области" (тестовое опубликование)
Номер опубликования: 4702201804180001
Дата опубликования: 18.04.2018
Страница №16 из 76:
Увеличить