Официальное опубликование правовых актов
ОФИЦИАЛЬНОЕ ОПУБЛИКОВАНИЕ
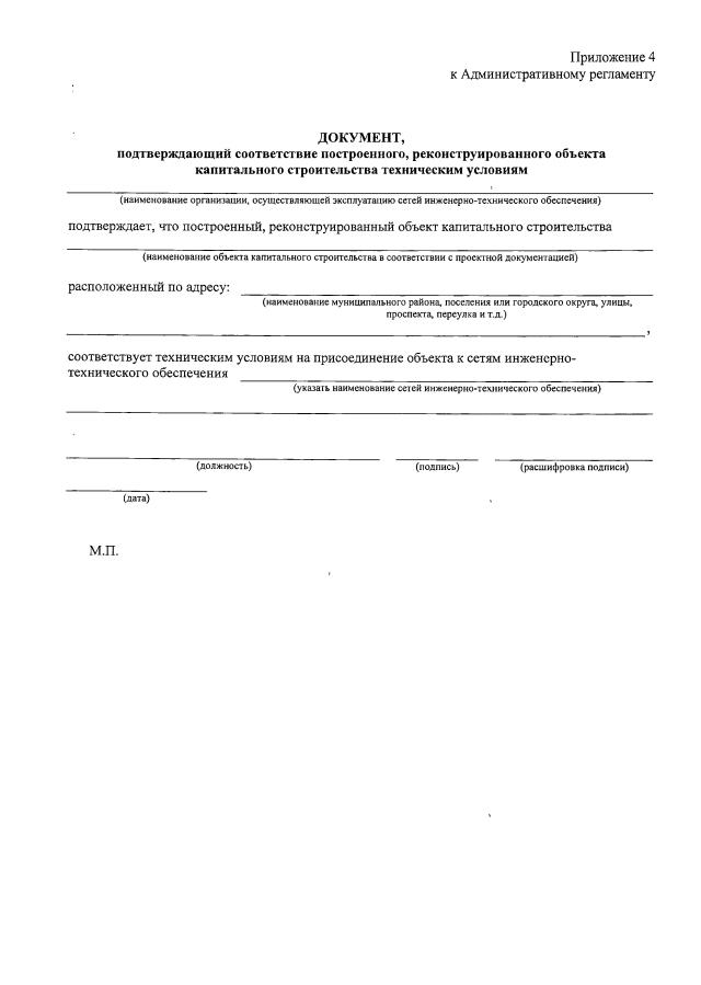
Постановление Администрации муниципального образования Лодейнопольский муниципальный район Ленинградской области от 24.01.2018 № 61
"Об утверждении административного регламента предоставления муниципальной услуги "Выдача разрешения на ввод объектов в эксплуатацию" (тестовое опубликование)
Номер опубликования: 4702201804040002
Дата опубликования: 04.04.2018
Страница №31 из 41:
Увеличить