Официальное опубликование правовых актов
ОФИЦИАЛЬНОЕ ОПУБЛИКОВАНИЕ
Постановление Администрации муниципального образования Лодейнопольский муниципальный район Ленинградской области от 09.02.2018 № 124
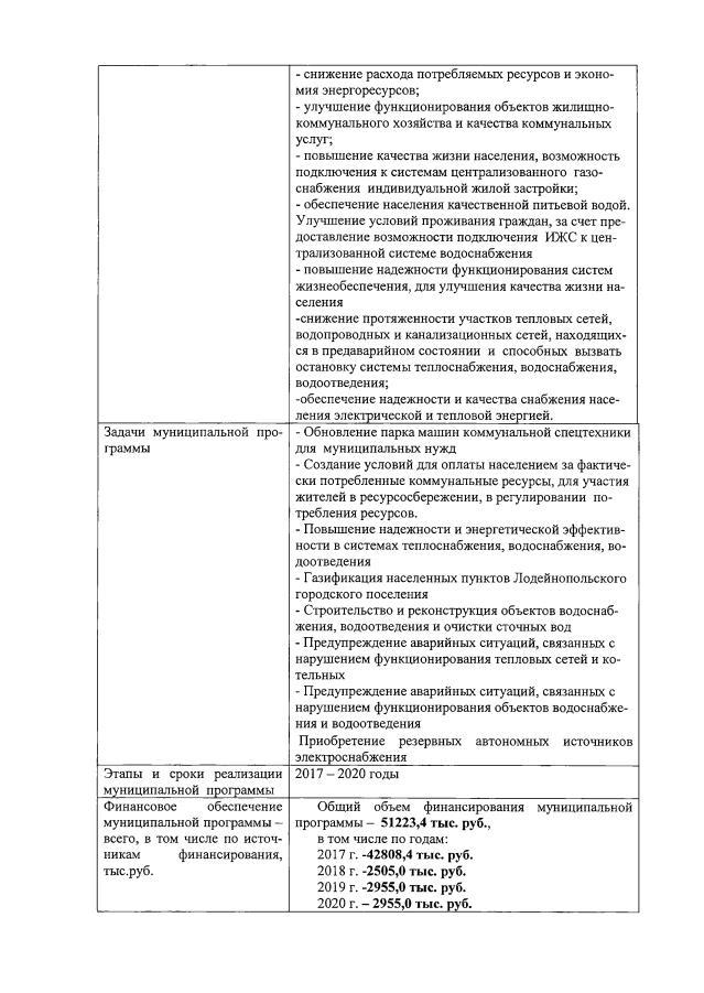
"Об утверждении муниципальной программы "Обеспечение устойчивого функционирования и развития коммунальной и инженерной инфраструктуры и повышение энергоэффективности в Лодейнопольском городском поселении" (тестовое опубликование)
Номер опубликования: 4702201804020019
Дата опубликования: 02.04.2018
Страница №4 из 41:
Увеличить