Постановление Администрации муниципального образования Волосовский муниципальный район Ленинградской области
от 22.12.2017 № 1668
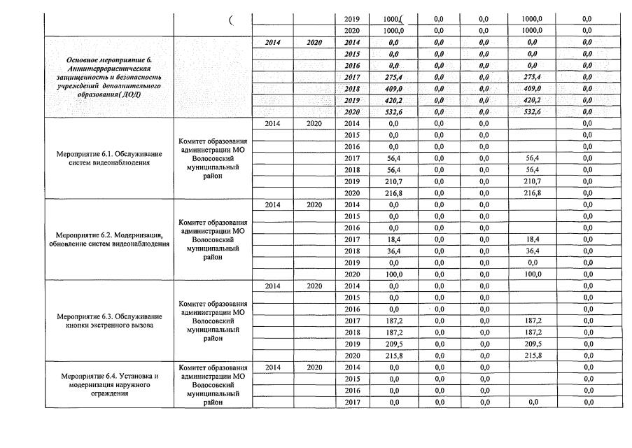
"О внесении изменений в муниципальную программу "Безопасность Волосовского муниципального района Ленинградской области" (тестовое опубликование)
от 22.12.2017 № 1668
"О внесении изменений в муниципальную программу "Безопасность Волосовского муниципального района Ленинградской области" (тестовое опубликование)
Номер опубликования: 4702201801100028
Дата опубликования:
10.01.2018
