Официальное опубликование правовых актов
ОФИЦИАЛЬНОЕ ОПУБЛИКОВАНИЕ
Постановление Администрации муниципального образования Гатчинский муниципальный район Ленинградской области от 03.11.2017 № 4762
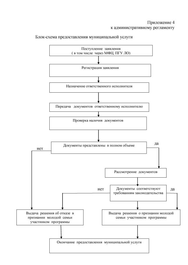
"Об утверждении административного регламента предоставления муниципальной услуги "Прием заявлений от молодых семей, проживающих в МО "Город Гатчина" о включении их в состав участников мероприятий подпрограммы "Обеспечение Жильем молодых семей" федеральной целевой программы "Жилище" на 2015-2020 годы" (тестовое опубликование)
Номер опубликования: 4702201801100025
Дата опубликования: 10.01.2018
Страница №34 из 34:
Увеличить