Официальное опубликование правовых актов
ОФИЦИАЛЬНОЕ ОПУБЛИКОВАНИЕ
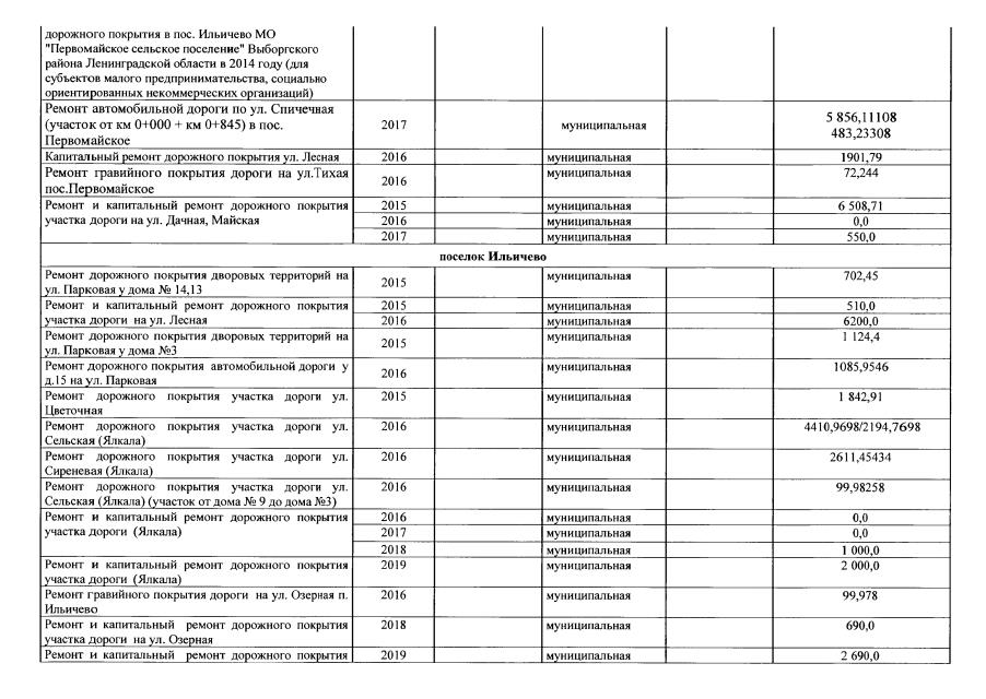
Постановление Администрации муниципального образования «Первомайское сельское поселение» Выборгского района Ленинградской области от 19.09.2017 № 448
"О внесении изменений в Постановление от 14.10.2014 г. № 279 "Об утверждении муниципальной программы "Развитие автомобильных дорог МО "Первомайское сельское поселение" на 2015-2017 годы" (тестовое опубликование)
Номер опубликования: 4702201711070009
Дата опубликования: 07.11.2017
Страница №14 из 30:
Увеличить