Постановление Администрации муниципального образования Волосовский муниципальный район Ленинградской области
от 14.08.2017 № 1078
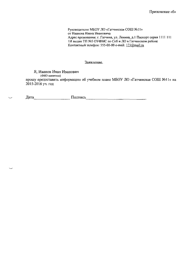
"О внесении изменений в Постановление администрации Волосовского муниципального района от 15.04.2016 №524 "Об утверждении административного регламента предоставления муниципальной услуги "Предоставление информации об образовательных программах и учебных планах, рабочих программах учебных курсов, предметов, дисциплинах (модулях), календарных учебных графиках муниципальных образовательных организаций, расположенных на территории Волосовского муниципального района Ленинградской области" (тестовое опубликование)
от 14.08.2017 № 1078
"О внесении изменений в Постановление администрации Волосовского муниципального района от 15.04.2016 №524 "Об утверждении административного регламента предоставления муниципальной услуги "Предоставление информации об образовательных программах и учебных планах, рабочих программах учебных курсов, предметов, дисциплинах (модулях), календарных учебных графиках муниципальных образовательных организаций, расположенных на территории Волосовского муниципального района Ленинградской области" (тестовое опубликование)
Номер опубликования: 4702201708250005
Дата опубликования:
25.08.2017
