Официальное опубликование правовых актов
ОФИЦИАЛЬНОЕ ОПУБЛИКОВАНИЕ
Постановление Администрации муниципального образования Киришский муниципальный район Ленинградской области от 01.06.2017 № 1270
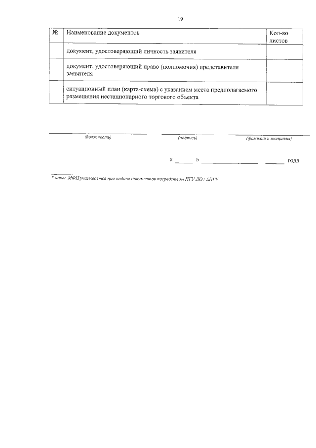
"Об утверждении административного регламента предоставления муниципальной услуги "Предоставление права на размещение нестационарного торгового объекта" (тестовое опубликование)
Номер опубликования: 4702201708210002
Дата опубликования: 21.08.2017
Страница №19 из 22:
Увеличить