Официальное опубликование правовых актов
ОФИЦИАЛЬНОЕ ОПУБЛИКОВАНИЕ
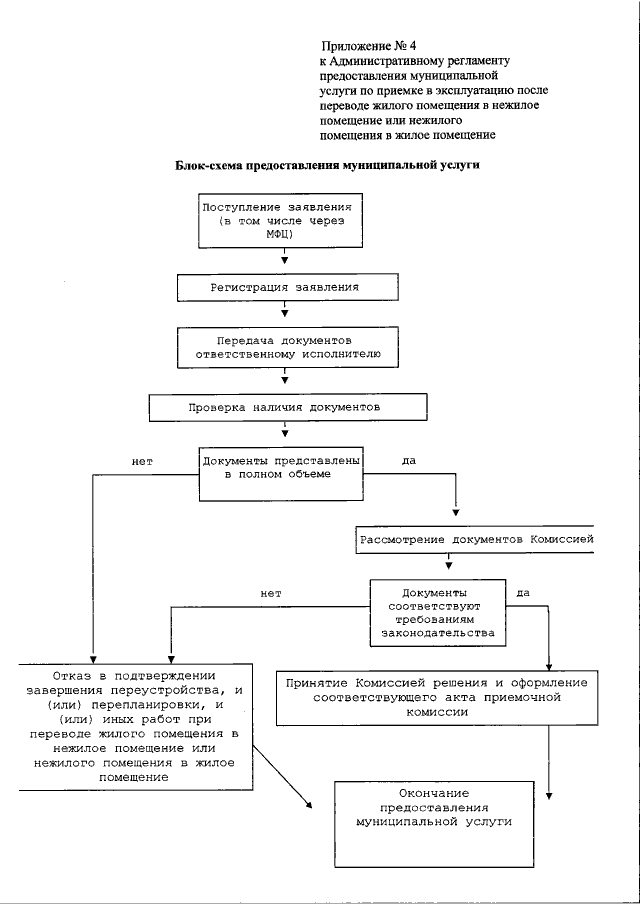
Постановление Администрации муниципального образования Кингисеппский муниципальный район Ленинградской области от 30.05.2017 № 1346 "О внесении изменений и дополнений в административный регламент предоставления муниципальной услуги "Прием в эксплуатацию после перевода жилого помещения в нежилое или нежилое помещения в жилое помещение", утвержденный постановлением администрации МО "Кингисеппский муниципальный район" от 08.05.2015 № 1106" (тестовое опубликование)
Номер опубликования: 4702201707070005
Дата опубликования: 07.07.2017
Страница №26 из 26:
Увеличить