Официальное опубликование правовых актов
ОФИЦИАЛЬНОЕ ОПУБЛИКОВАНИЕ
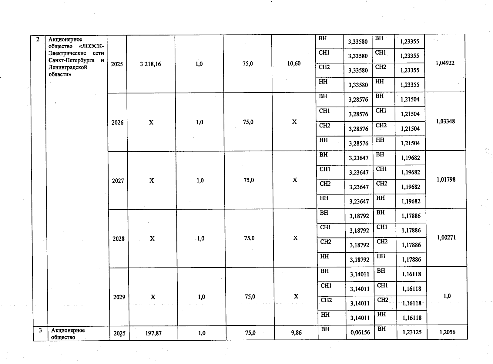
Приказ Комитета по тарифам и ценовой политике Ленинградской области от 29.12.2025 № 604-п
"Об установлении тарифов на услуги по передаче электрической энергии по сетям Ленинградской области и сбытовых надбавок гарантирующих поставщиков на 2026 год"
(Зарегистрирован 29.12.2025 № 604-п)
Номер опубликования: 4701202512310013
Дата опубликования: 31.12.2025
Страница №29 из 37:
Увеличить