Официальное опубликование правовых актов
ОФИЦИАЛЬНОЕ ОПУБЛИКОВАНИЕ
Приказ Комитета по социальной защите населения Ленинградской области от 18.12.2025 № 04-128
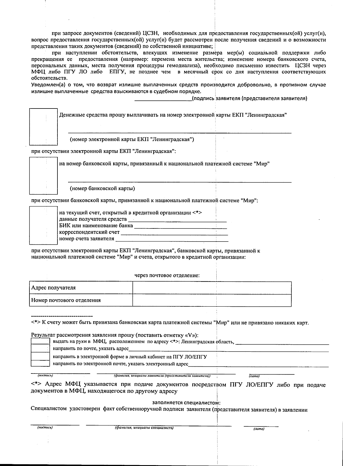
"О внесении изменений в приказ комитета по социальной защите населения Ленинградской области от 31 января 2020 года № 5 "Об утверждении административных регламентов предоставления на территории Ленинградской области государственных услуг в сфере социальной защиты населения"
(Зарегистрирован 18.12.2025 № 04-128)
Номер опубликования: 4701202512220051
Дата опубликования: 22.12.2025
Страница №59 из 69:
Увеличить