Официальное опубликование правовых актов
ОФИЦИАЛЬНОЕ ОПУБЛИКОВАНИЕ
Приказ Комитета градостроительной политики Ленинградской области от 27.11.2025 № 141
"О внесении изменений в Правила землепользования и застройки муниципального образования Ропшинское сельское поселение муниципального образования Ломоносовский муниципальный район Ленинградской области"
(Зарегистрирован 27.11.2025 № 01-06-141/2025)
Номер опубликования: 4701202512050028
Дата опубликования: 05.12.2025
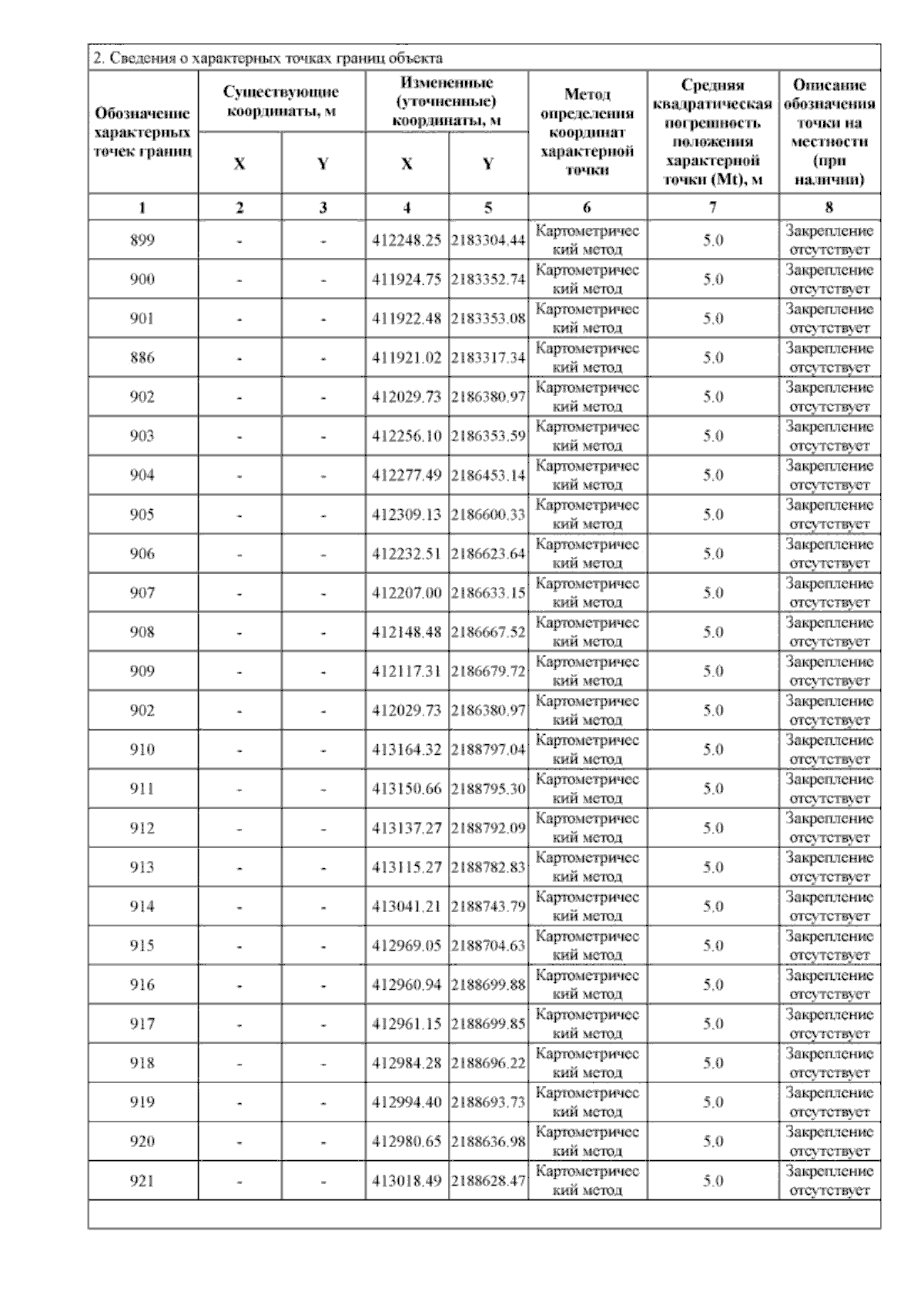
Страница №55 из 81:
Увеличить