Официальное опубликование правовых актов
ОФИЦИАЛЬНОЕ ОПУБЛИКОВАНИЕ
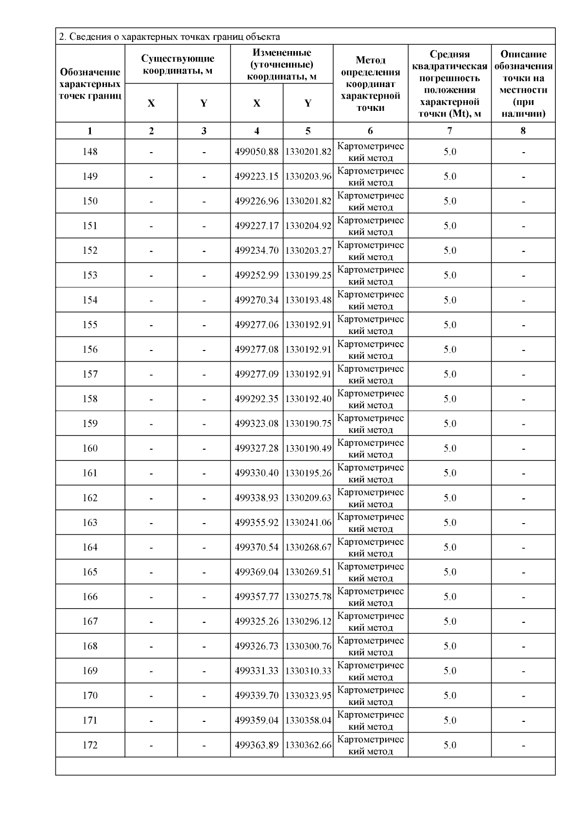
Приказ Комитета градостроительной политики Ленинградской области от 14.11.2025 № 130
"О внесении изменений в правила землепользования и застройки муниципального образования "Красносельское сельское поселение" Выборгского района Ленинградской области"
(Зарегистрирован 14.11.2025 № 01-06-130/2025)
Номер опубликования: 4701202511210004
Дата опубликования: 21.11.2025
Страница №13 из 116: