Официальное опубликование правовых актов
ОФИЦИАЛЬНОЕ ОПУБЛИКОВАНИЕ
Приказ Комитета градостроительной политики Ленинградской области от 14.11.2025 № 132
"О внесении изменений в Правила землепользования и застройки МО Колчановское сельское поселение Волховского муниципального района Ленинградской области применительно к части территории: с. Колчаново, д. Андреевщина, д. Бор, д. Будаевщина, д. Великое село, д. Вымово, д. Дяглево, д. Ежева, д. Коскеницы, д. Кивуя, д. Кумин бор, д. Морозово, д. Нивы, д. Посадница, д. Пенчино, д. Реброво, д. Сватковщина, д. Страшево, д. Тихомировщина, д. Усадище, д. Хамонтово, д. Яхново, д. Яхновщина"
(Зарегистрирован 14.11.2025 № 01-06-132/2025)
Номер опубликования: 4701202511210002
Дата опубликования: 21.11.2025
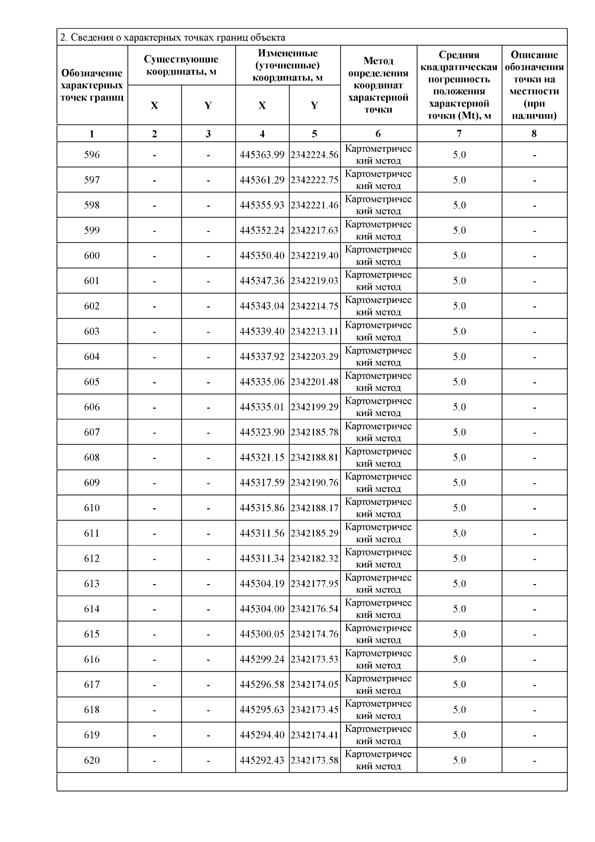
Страница №36 из 58:
Увеличить