Официальное опубликование правовых актов
ОФИЦИАЛЬНОЕ ОПУБЛИКОВАНИЕ
Приказ Комитета градостроительной политики Ленинградской области от 03.10.2025 № 108
"О внесении изменений в Правила землепользования и застройки муниципального образования Толмачёвское городское поселение Лужского муниципального района Ленинградской области"
(Зарегистрирован 03.10.2025 № 01-06-108/2025)
Номер опубликования: 4701202510090002
Дата опубликования: 09.10.2025
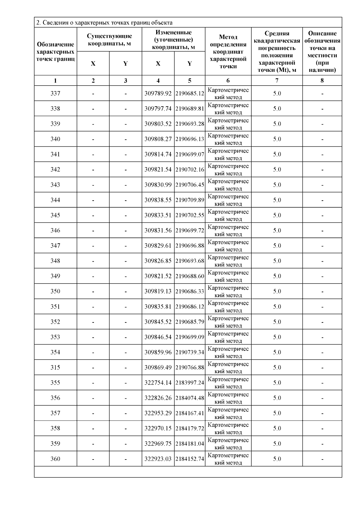
Страница №21 из 114:
Увеличить