Официальное опубликование правовых актов
ОФИЦИАЛЬНОЕ ОПУБЛИКОВАНИЕ
Приказ Комитета градостроительной политики Ленинградской области от 19.09.2025 № 104
"О внесении изменений в Правила землепользования и застройки муниципального образования Плодовское сельское поселение муниципального образования Приозерский муниципальный район Ленинградской области"
(Зарегистрирован 19.09.2025 № 01-06-104/2025)
Номер опубликования: 4701202509250002
Дата опубликования: 25.09.2025
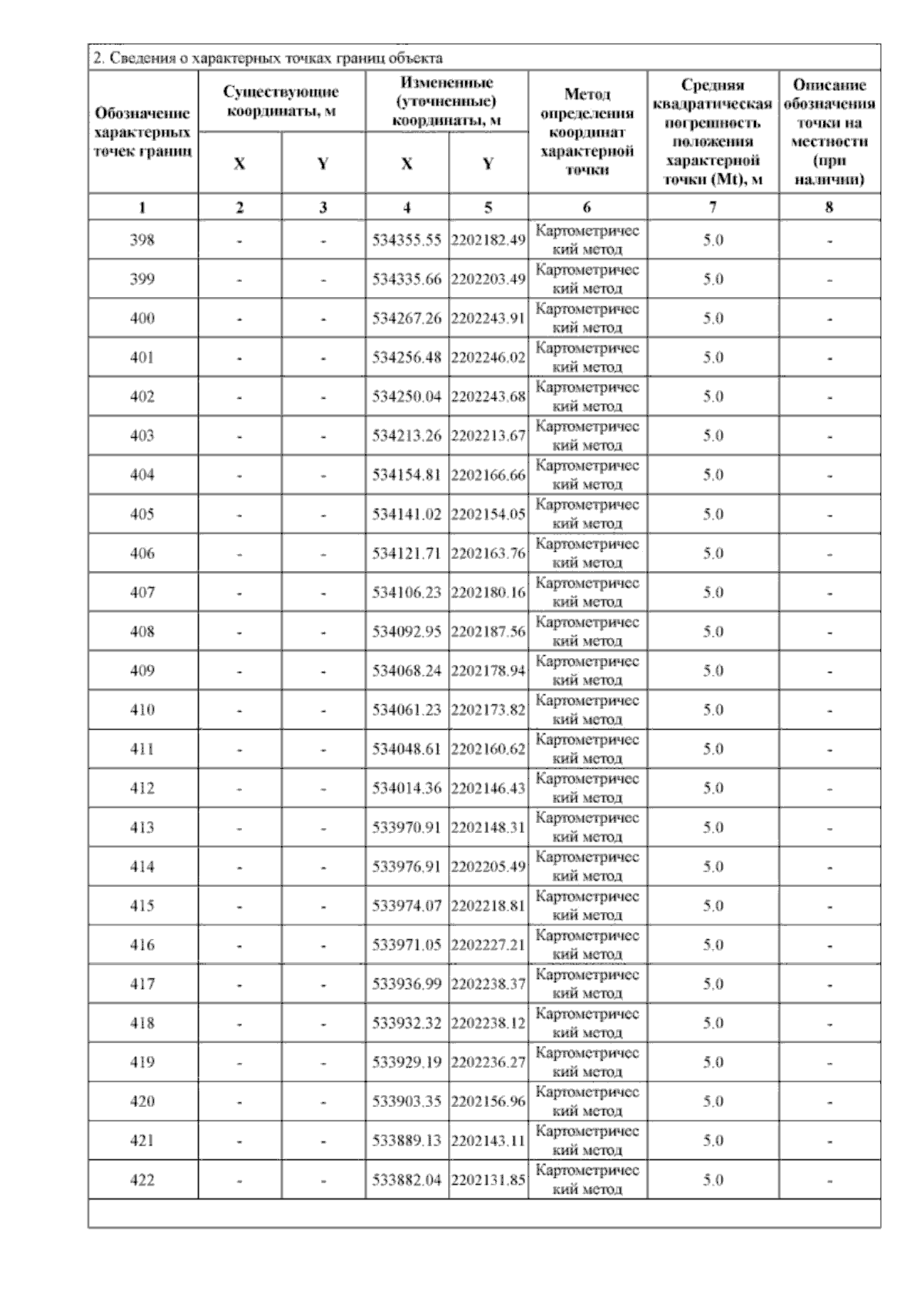
Страница №54 из 89:
Увеличить