Официальное опубликование правовых актов
ОФИЦИАЛЬНОЕ ОПУБЛИКОВАНИЕ
Приказ Комитета по сохранению культурного наследия Ленинградской области от 07.04.2025 № 01-03/25-21
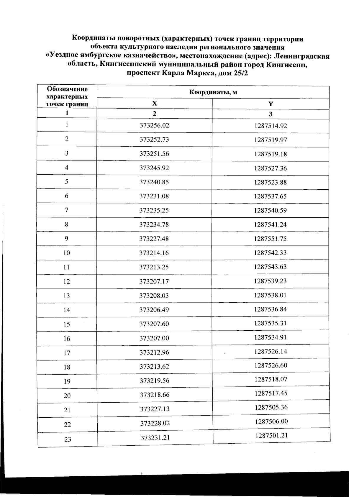
"О включении выявленного объекта культурного наследия "Здание Госбанка", расположенного по адресу: Ленинградская область, Кингисеппский муниципальный район город Кингисепп, проспект Карла Маркса, дом 25, в единый государственный реестр объектов культурного наследия (памятников истории и культуры) народов Российской Федерации в качестве объекта культурного наследия регионального значения, утверждении границ территории и установлении предмета охраны"
(Зарегистрирован 07.04.2025 № КСКН-2025/01-21)
Номер опубликования: 4701202504140001
Дата опубликования: 14.04.2025
Страница №5 из 9:
Увеличить