Официальное опубликование правовых актов
ОФИЦИАЛЬНОЕ ОПУБЛИКОВАНИЕ
Приказ Комитета по социальной защите населения Ленинградской области от 07.03.2025 № 04-30
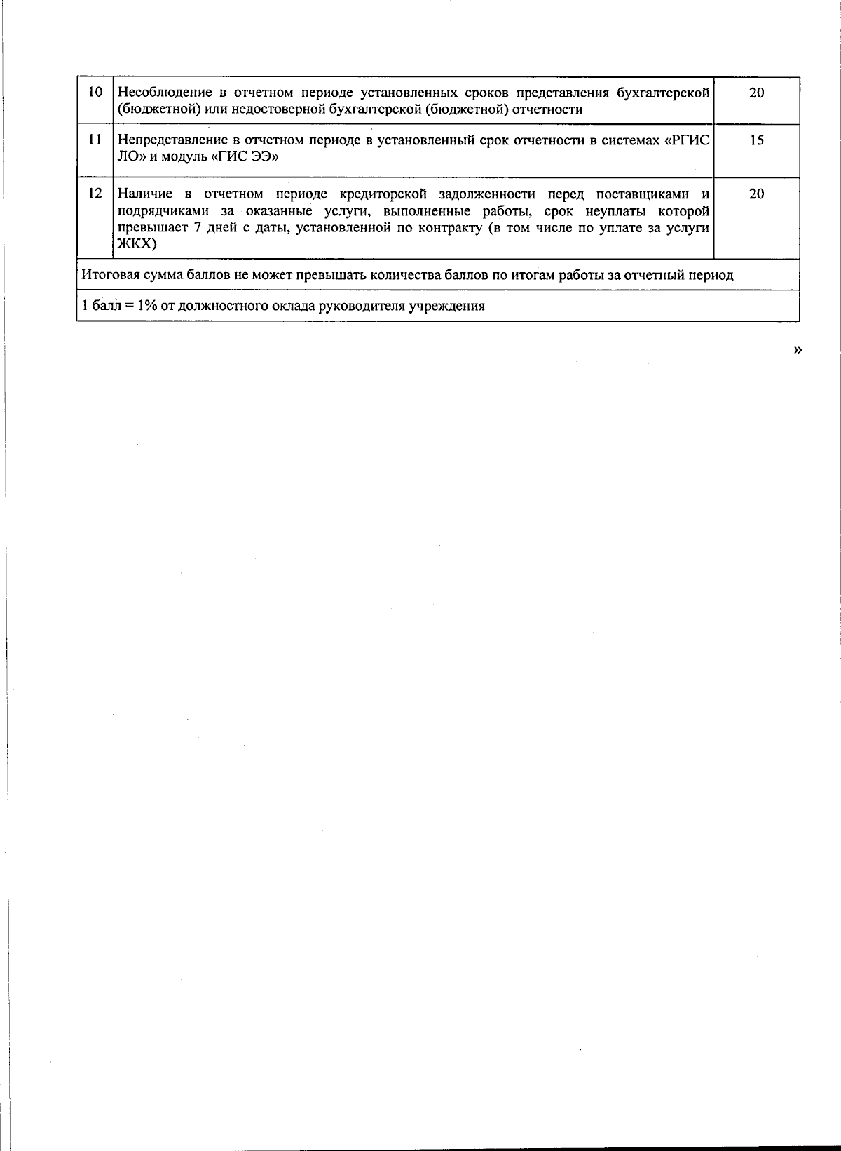
"О внесении изменения в приказ комитета по социальной защите населения Ленинградской области от 27 октября 2023 года № 04-69 "Об утверждении Положения о порядке установления стимулирующих и иных выплат руководителю государственного автономного нетипового профессионального образовательного учреждения Ленинградской области "Мультицентр социальной и трудовой интеграции", показателей эффективности и результативности деятельности и критериев оценки деятельности государственного автономного нетипового профессионального образовательного учреждения Ленинградской области "Мультицентр социальной и трудовой интеграции", подведомственного комитету по социальной защите населения Ленинградской области, для руководителя учреждения"
(Зарегистрирован 07.03.2025 № 04-30)
Номер опубликования: 4701202503120001
Дата опубликования: 12.03.2025
Страница №7 из 7:
Увеличить