Официальное опубликование правовых актов
ОФИЦИАЛЬНОЕ ОПУБЛИКОВАНИЕ
Приказ Комитета градостроительной политики Ленинградской области от 24.02.2025 № 13
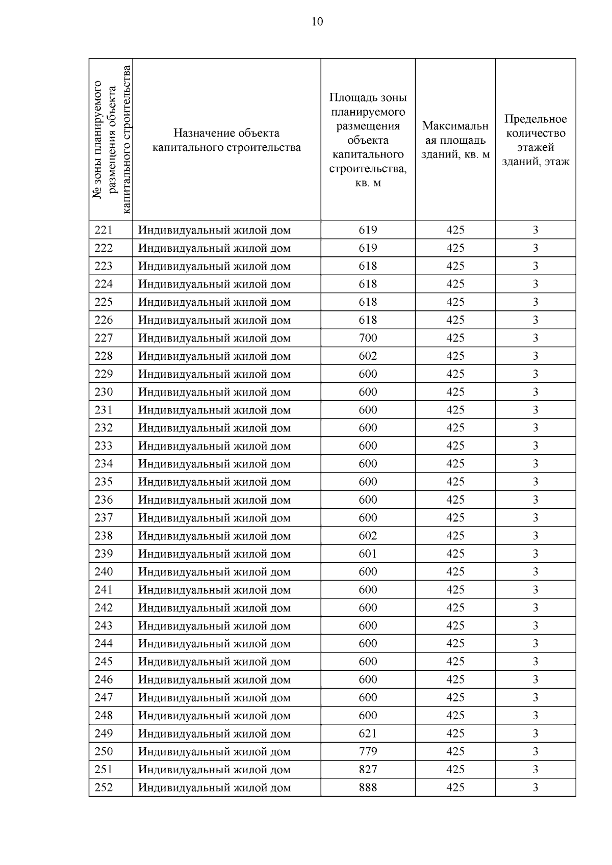
"Об утверждении проекта планировки территории и проекта межевания территории, включающей земельный участок с кадастровым номером 47:26:0735001:34, и расположенной в массиве "Марьино" Тосненского городского поселения Тосненского муниципального района Ленинградской области"
(Зарегистрирован 24.02.2025 № 01-06-13/2025)
Номер опубликования: 4701202502280005
Дата опубликования: 28.02.2025
Страница №26 из 86:
Увеличить