Официальное опубликование правовых актов
ОФИЦИАЛЬНОЕ ОПУБЛИКОВАНИЕ
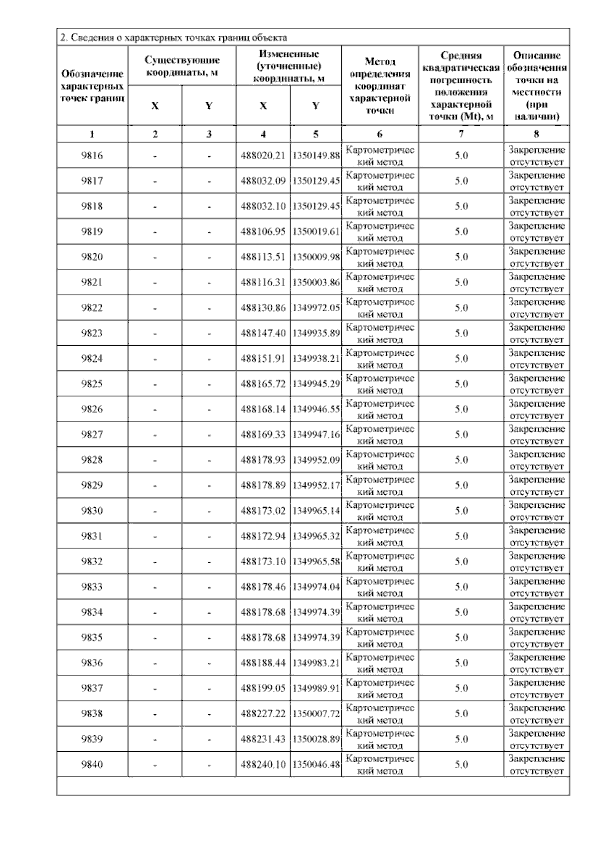
Приказ Комитета градостроительной политики Ленинградской области от 31.01.2025 № 9
"О внесении изменений в правила землепользования и застройки муниципального образования "Первомайское сельское поселение" Выборгского района Ленинградской области"
(Зарегистрирован 31.01.2025 № 01-06-9/2025)
Номер опубликования: 4701202502060006
Дата опубликования: 06.02.2025
Страница №838 из 874:
Увеличить