Официальное опубликование правовых актов
ОФИЦИАЛЬНОЕ ОПУБЛИКОВАНИЕ
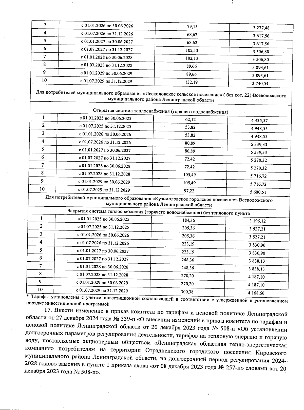
Приказ Комитета по тарифам и ценовой политике Ленинградской области от 17.01.2025 № 5-п
"О внесении изменений в некоторые приказы комитета по тарифам и ценовой политике Ленинградской области"
(Зарегистрирован 17.01.2025 № 5-п)
Номер опубликования: 4701202501220005
Дата опубликования: 22.01.2025
Страница №12 из 13:
Увеличить