Официальное опубликование правовых актов
ОФИЦИАЛЬНОЕ ОПУБЛИКОВАНИЕ
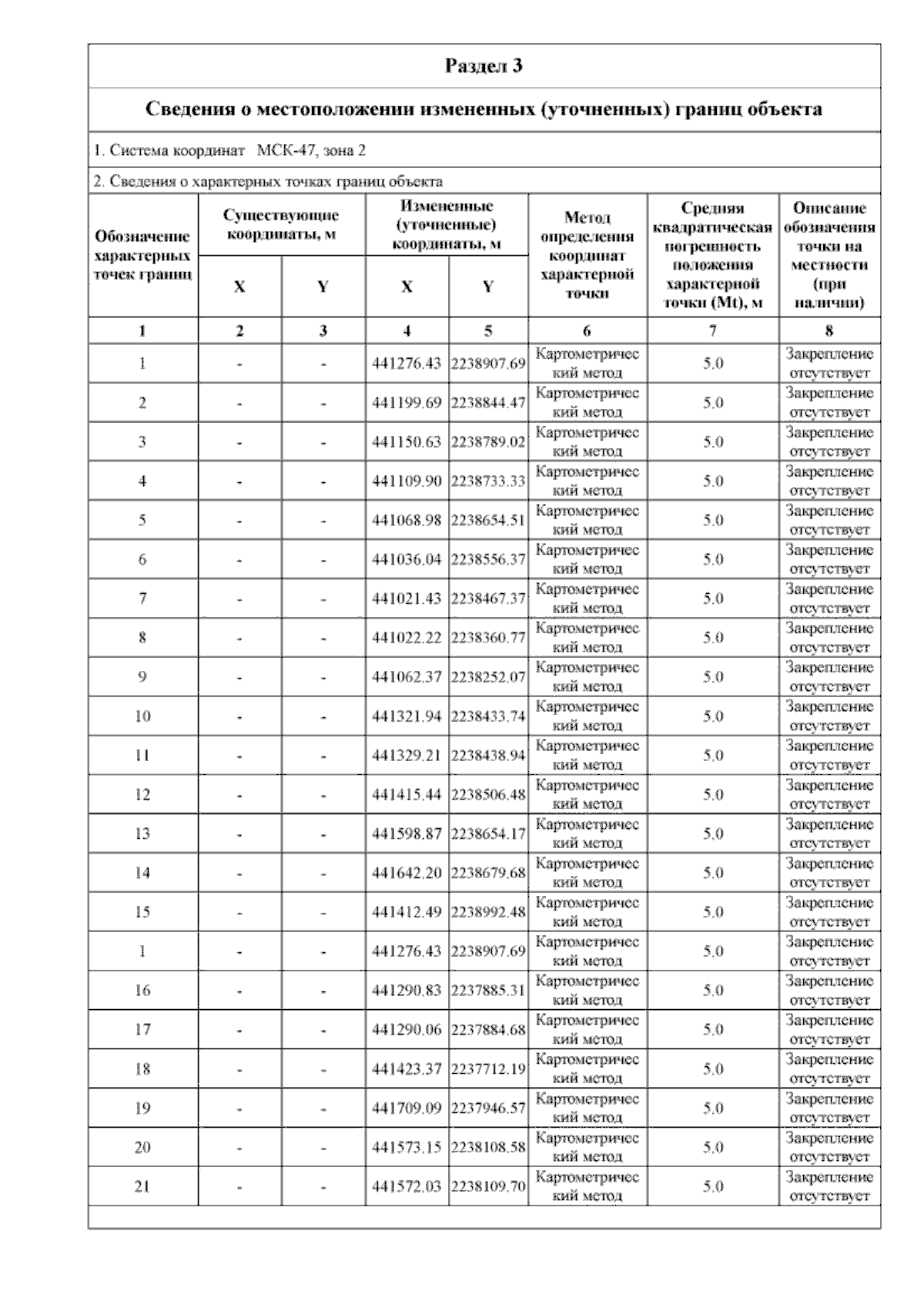
Приказ Комитета градостроительной политики Ленинградской области от 24.12.2024 № 213
"О внесении изменений в правила землепользования и застройки муниципального образования "Город Всеволожск" Всеволожского муниципального района Ленинградской области"
(Зарегистрирован 24.12.2024 № 01-06-213/2024)
Номер опубликования: 4701202412260006
Дата опубликования: 26.12.2024
Страница №8 из 10:
Увеличить