Официальное опубликование правовых актов
ОФИЦИАЛЬНОЕ ОПУБЛИКОВАНИЕ
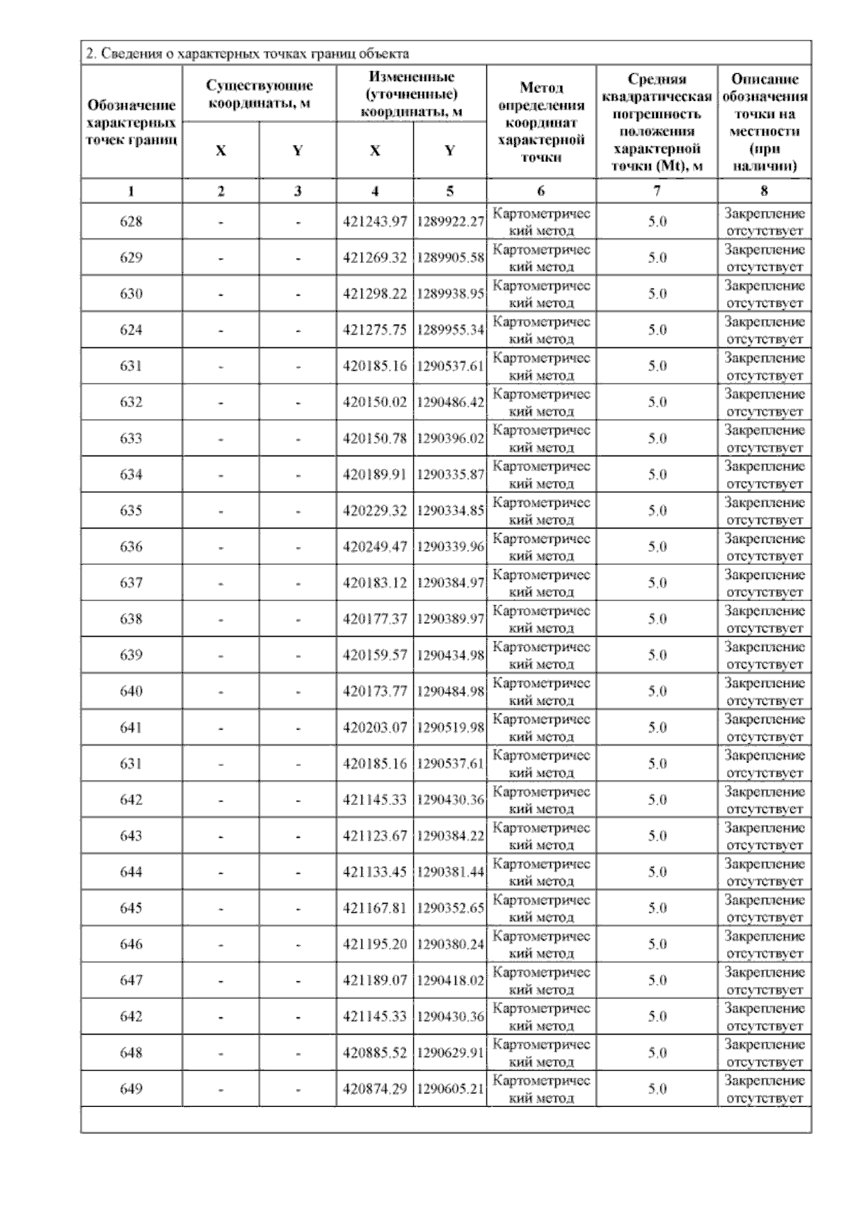
Приказ Комитета градостроительной политики Ленинградской области от 17.12.2024 № 208
"О внесении изменений в Правила землепользования и застройки муниципального образования "Вистинское сельское поселение" муниципального образования "Кингисеппский муниципальный район" Ленинградской области"
(Зарегистрирован 17.12.2024 № 01-06-208/2024)
Номер опубликования: 4701202412200013
Дата опубликования: 20.12.2024
Страница №328 из 349:
Увеличить