Официальное опубликование правовых актов
ОФИЦИАЛЬНОЕ ОПУБЛИКОВАНИЕ
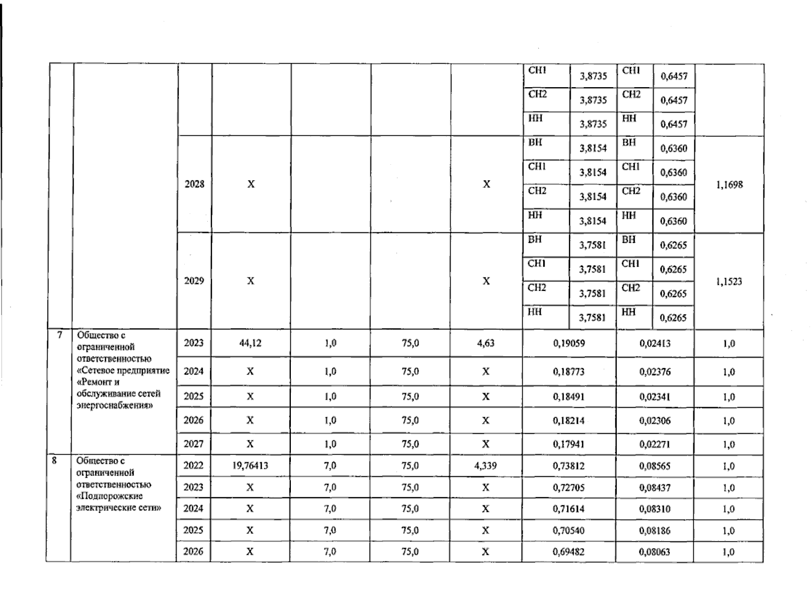
Приказ Комитета по тарифам и ценовой политике Ленинградской области от 30.11.2024 № 210-п
"Об установлении тарифов на услуги по передаче электрической энергии по сетям Ленинградской области и сбытовых надбавок гарантирующих поставщиков на 2025 год"
(Зарегистрирован 30.11.2024 № 210-п)
Номер опубликования: 4701202412060032
Дата опубликования: 06.12.2024
Страница №34 из 39:
Увеличить