Официальное опубликование правовых актов
ОФИЦИАЛЬНОЕ ОПУБЛИКОВАНИЕ
Приказ Комитета градостроительной политики Ленинградской области от 21.11.2024 № 190
"О внесении изменений в Правила землепользования и застройки муниципального образования Ропшинское сельское поселение муниципального образования Ломоносовский муниципальный район Ленинградской области"
(Зарегистрирован 21.11.2024 № 01-06-190/2024)
Номер опубликования: 4701202411260005
Дата опубликования: 26.11.2024
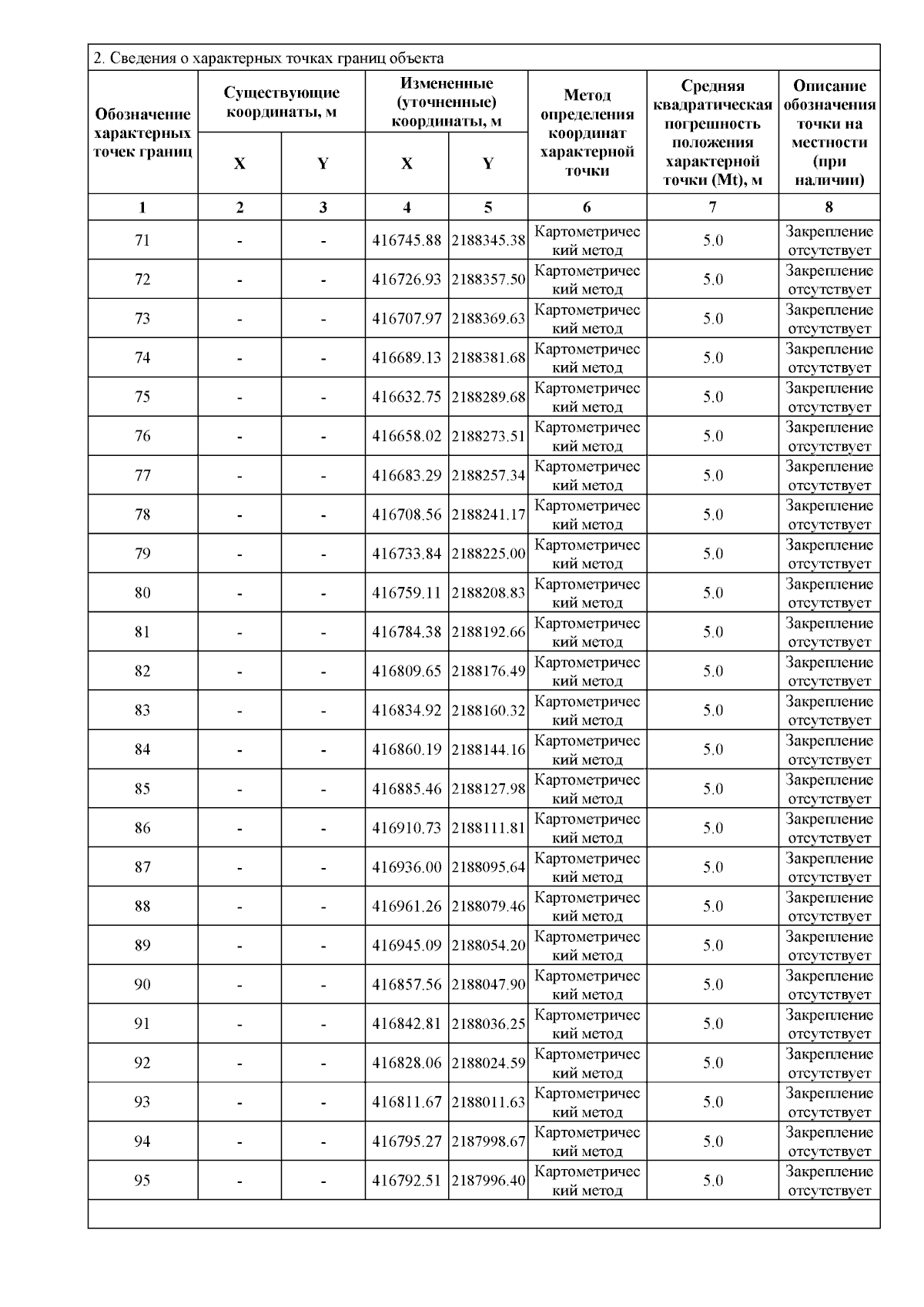
Страница №24 из 44:
Увеличить