Официальное опубликование правовых актов
ОФИЦИАЛЬНОЕ ОПУБЛИКОВАНИЕ
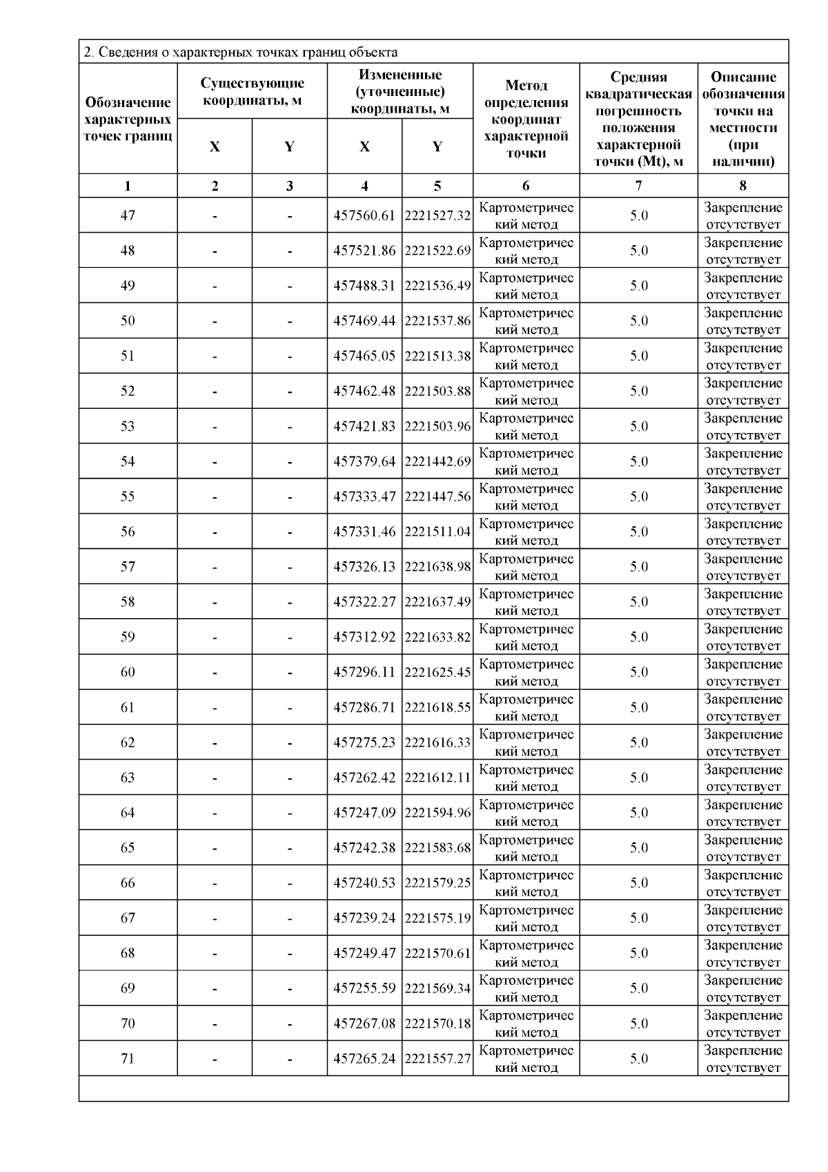
Приказ Комитета градостроительной политики Ленинградской области от 19.11.2024 № 186
"О внесении изменений в Правила землепользования и застройки муниципального образования "Бугровское сельское поселение" Всеволожского муниципального района Ленинградской области"
(Зарегистрирован 19.11.2024 № 01-06-186/2024)
Номер опубликования: 4701202411200019
Дата опубликования: 20.11.2024
Страница №11 из 18:
Увеличить