Официальное опубликование правовых актов
ОФИЦИАЛЬНОЕ ОПУБЛИКОВАНИЕ
Приказ Комитета градостроительной политики Ленинградской области от 18.11.2024 № 184
"О внесении изменений в Правила землепользования и застройки муниципального образования "Лесколовское сельское поселение" Всеволожского муниципального района Ленинградской области"
(Зарегистрирован 18.11.2024 № 01-06-184/2024)
Номер опубликования: 4701202411200001
Дата опубликования: 20.11.2024
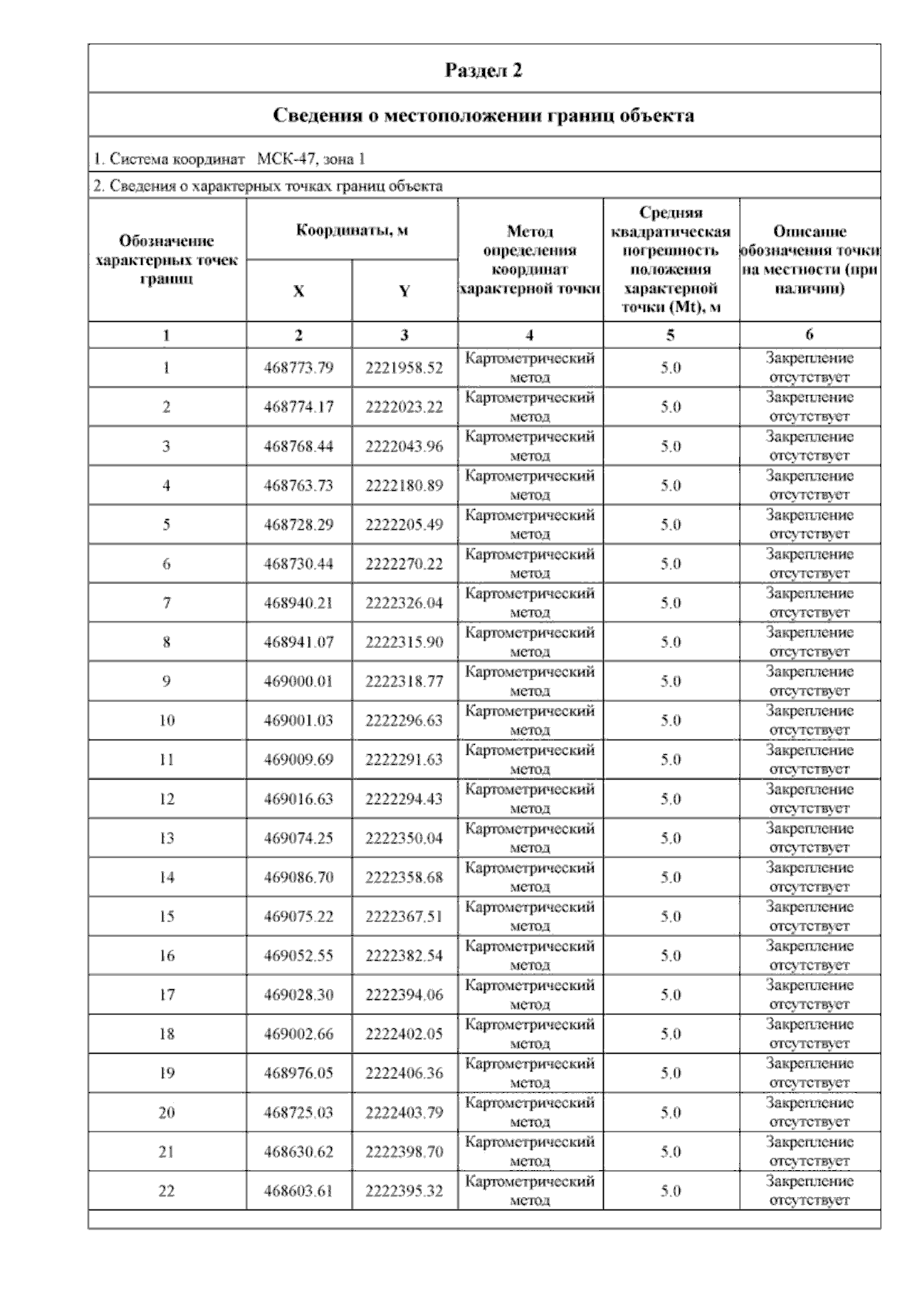
Страница №18 из 21:
Увеличить