Официальное опубликование правовых актов
ОФИЦИАЛЬНОЕ ОПУБЛИКОВАНИЕ
Приказ Комитета градостроительной политики Ленинградской области от 02.11.2024 № 177
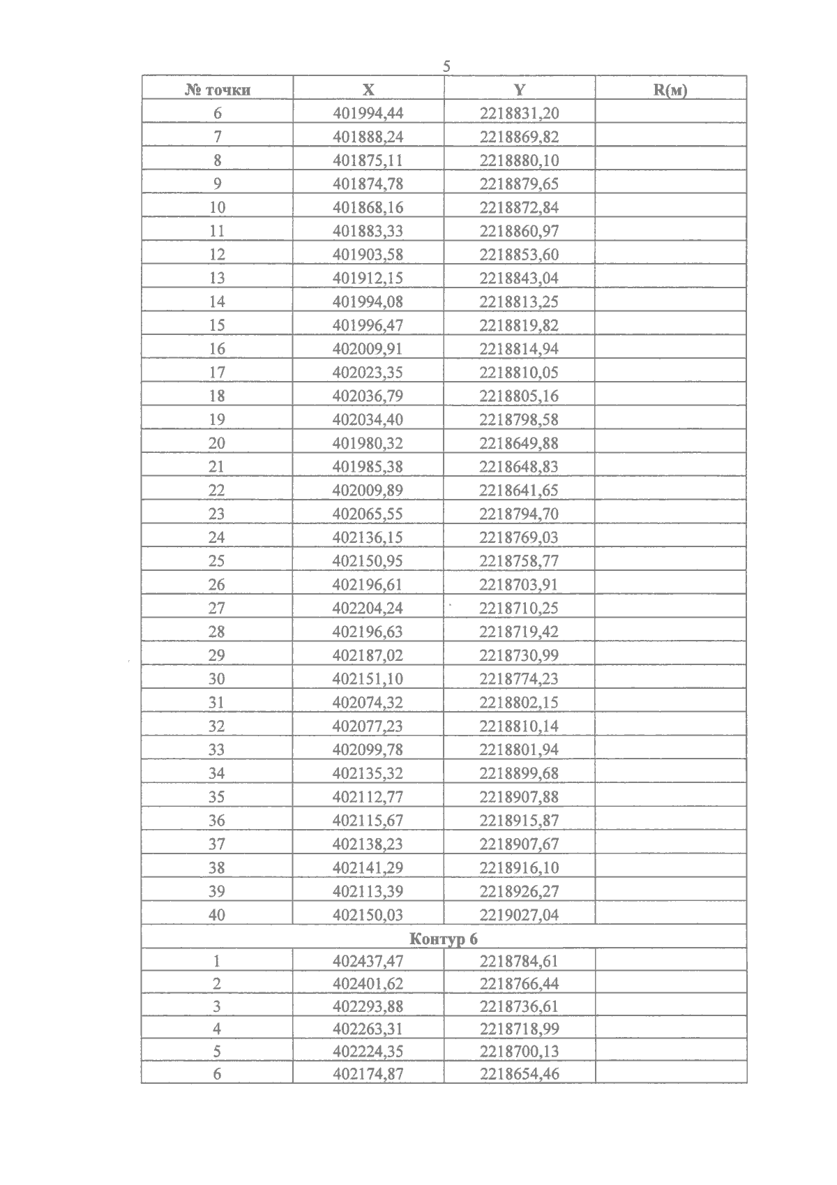
"Об утверждении проекта планировки территории и проекта межевания территории, ограниченной на севере и северо-западе границей города Коммунар, на востоке – восточными границами земельных участков с кадастровыми номерами 47:24:0101001:625, 47:24:0101001:626, 47:24:0101001:627, 47:24:0101001:621, на юге – Железнодорожной улицей и Павловской улицей, на западе – Ленинградским шоссе, и расположенной в г. Коммунар муниципального образования Гатчинский муниципальный округ Ленинградской области"
(Зарегистрирован 02.11.2024 № 01-06-177/2024)
Номер опубликования: 4701202411070010
Дата опубликования: 07.11.2024
Страница №7 из 39:
Увеличить