Официальное опубликование правовых актов
ОФИЦИАЛЬНОЕ ОПУБЛИКОВАНИЕ
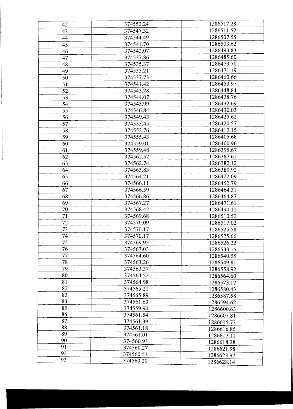
Приказ Комитета по сохранению культурного наследия Ленинградской области от 28.10.2024 № 01-03/24-110
"Об утверждении границ территории выявленного объекта культурного наследия "Усадьба генерала К.И. Бистрома "Романовка", расположенного по адресу: Ленинградская область, город Кингисепп, ул. Комсомоловка, д. 21"
(Зарегистрирован 28.10.2024 № КСКН-2024/01-110)
Номер опубликования: 4701202410300022
Дата опубликования: 30.10.2024
Страница №10 из 15:
Увеличить