Официальное опубликование правовых актов
ОФИЦИАЛЬНОЕ ОПУБЛИКОВАНИЕ
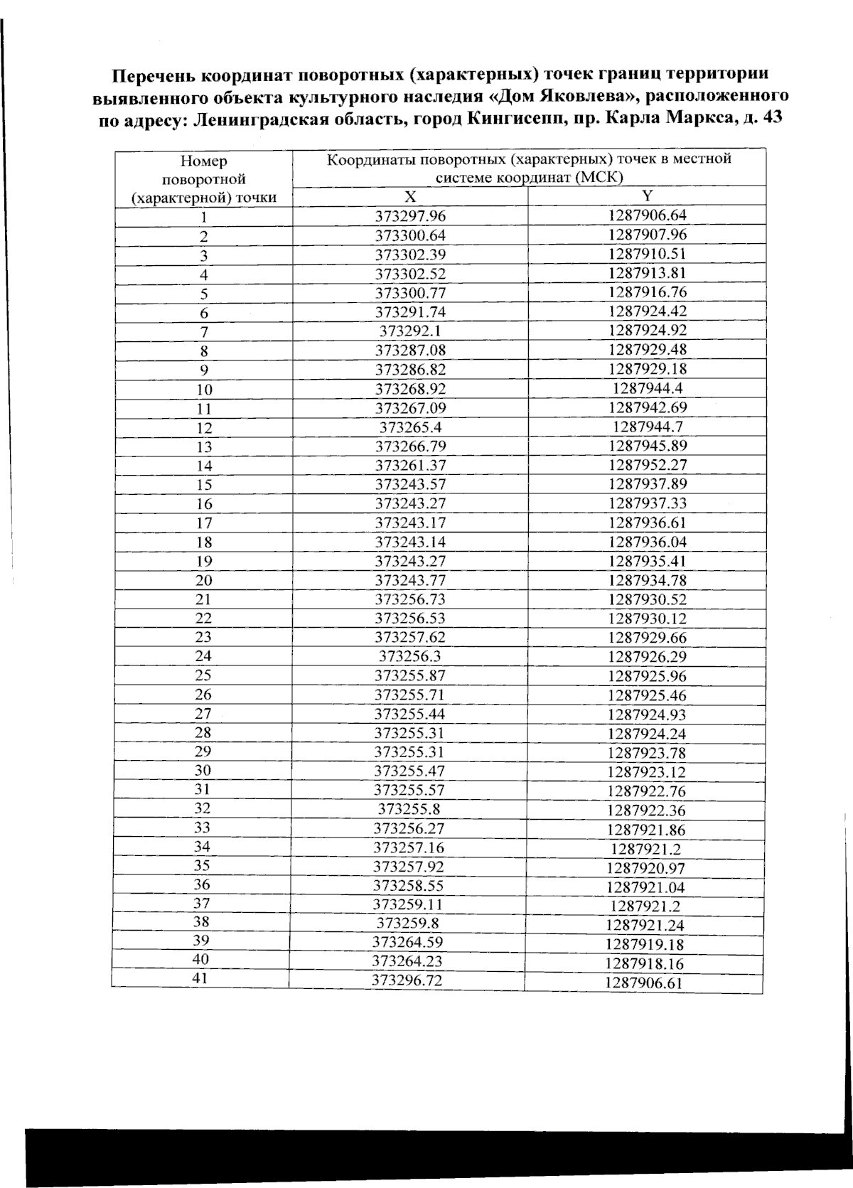
Приказ Комитета по сохранению культурного наследия Ленинградской области от 28.10.2024 № 01-03/24-116
"Об утверждении границ территории выявленного объекта культурного наследия "Дом Яковлева", расположенного по адресу: Ленинградская область, город Кингисепп, пр. Карла Маркса, д. 43"
(Зарегистрирован 28.10.2024 № КСКН-2024/01-116)
Номер опубликования: 4701202410300007
Дата опубликования: 30.10.2024
Страница №4 из 5:
Увеличить