Официальное опубликование правовых актов
ОФИЦИАЛЬНОЕ ОПУБЛИКОВАНИЕ
Приказ Комитета градостроительной политики Ленинградской области от 25.10.2024 № 169
"О внесении изменений в Правила землепользования и застройки муниципального образования "Агалатовское сельское поселение" Всеволожского муниципального района Ленинградской области"
(Зарегистрирован 25.10.2024 № 01-06-169/2024)
Номер опубликования: 4701202410280005
Дата опубликования: 28.10.2024
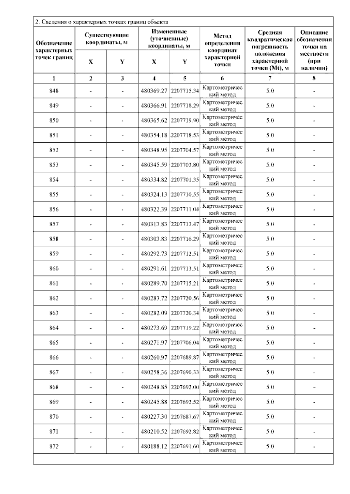
Страница №421 из 528:
Увеличить