Официальное опубликование правовых актов
ОФИЦИАЛЬНОЕ ОПУБЛИКОВАНИЕ
Приказ Комитета градостроительной политики Ленинградской области от 21.10.2024 № 167
"Об утверждении изменений в проект планировки и проект межевания части территории восточнее пос. Бугры Бугровского сельского поселения Всеволожского муниципального района Ленинградской области, утвержденные постановлением администрации муниципального образования "Бугровское сельское поселение" Всеволожского муниципального района Ленинградской области от 22 декабря 2014 года № 412"
(Зарегистрирован 21.10.2024 № 01-06-167/2024)
Номер опубликования: 4701202410220004
Дата опубликования: 22.10.2024
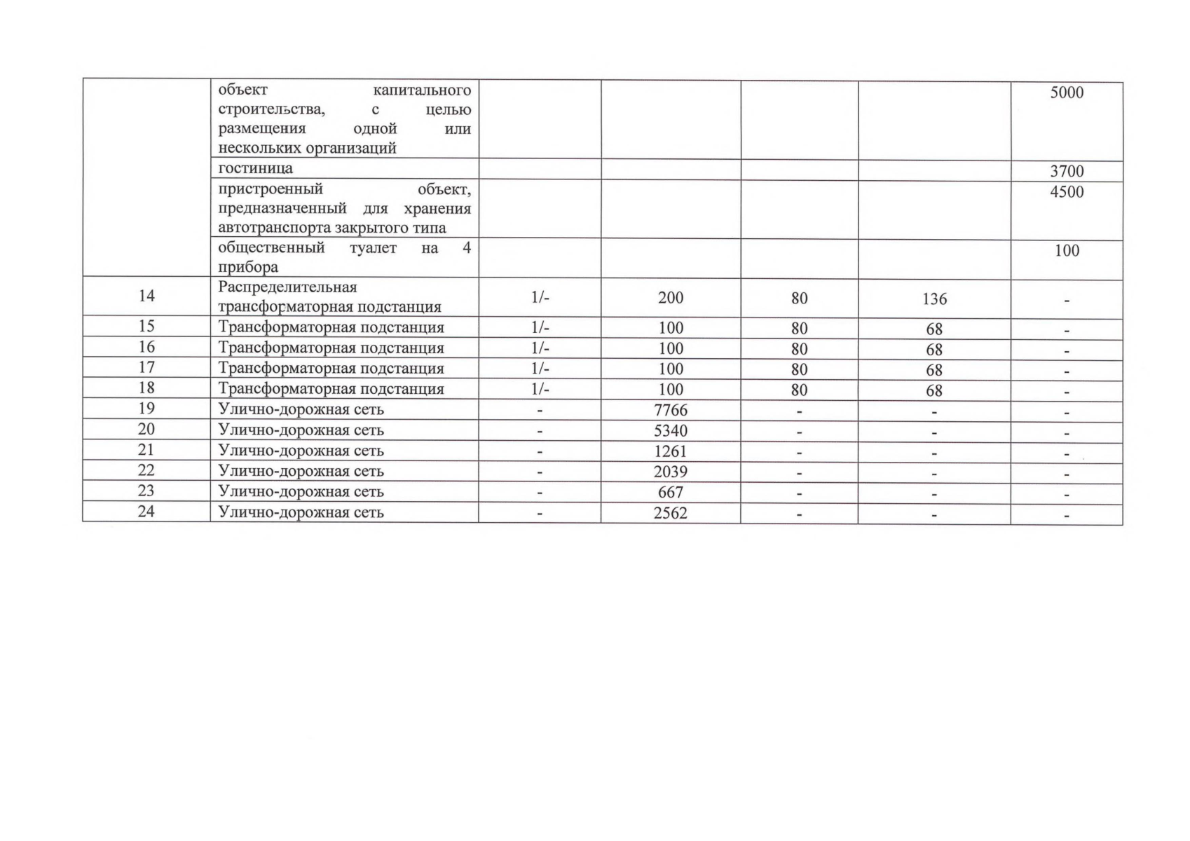
Страница №16 из 32:
Увеличить