Официальное опубликование правовых актов
ОФИЦИАЛЬНОЕ ОПУБЛИКОВАНИЕ
Приказ Комитета градостроительной политики Ленинградской области от 08.10.2024 № 161
"О внесении изменений в Правила землепользования и застройки муниципального образования Ропшинское сельское поселение муниципального образования Ломоносовский муниципальный район Ленинградской области"
(Зарегистрирован 08.10.2024 № 01-06-161/2024)
Номер опубликования: 4701202410110010
Дата опубликования: 11.10.2024
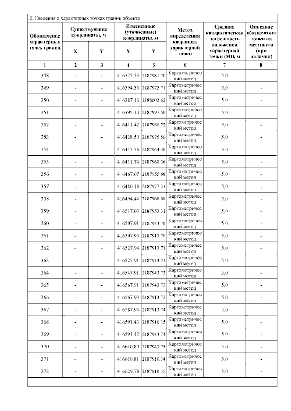
Страница №23 из 198:
Увеличить