Официальное опубликование правовых актов
ОФИЦИАЛЬНОЕ ОПУБЛИКОВАНИЕ
Приказ Комитета градостроительной политики Ленинградской области от 25.09.2024 № 153
"О внесении изменений в правила землепользования и застройки муниципального образования "Свердловское городское поселение" Всеволожского муниципального района Ленинградской области"
(Зарегистрирован 25.09.2024 № 01-06-153/2024)
Номер опубликования: 4701202409270008
Дата опубликования: 27.09.2024
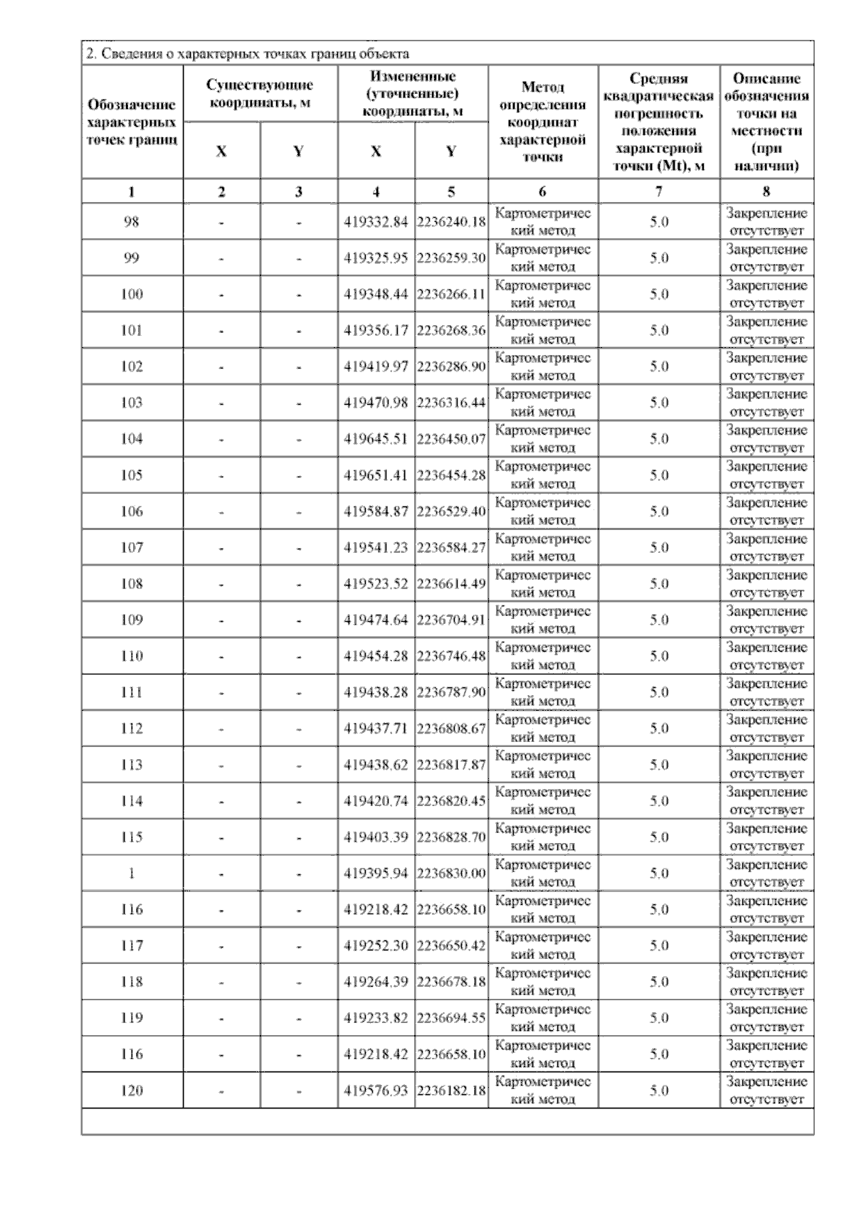
Страница №88 из 139:
Увеличить