Официальное опубликование правовых актов
ОФИЦИАЛЬНОЕ ОПУБЛИКОВАНИЕ
Приказ Комитета градостроительной политики Ленинградской области от 11.09.2024 № 145
"О внесении изменений в правила землепользования и застройки муниципального образования "Город Всеволожск" Всеволожского муниципального района Ленинградской области"
(Зарегистрирован 11.09.2024 № 01-06-145/2024)
Номер опубликования: 4701202409140002
Дата опубликования: 14.09.2024
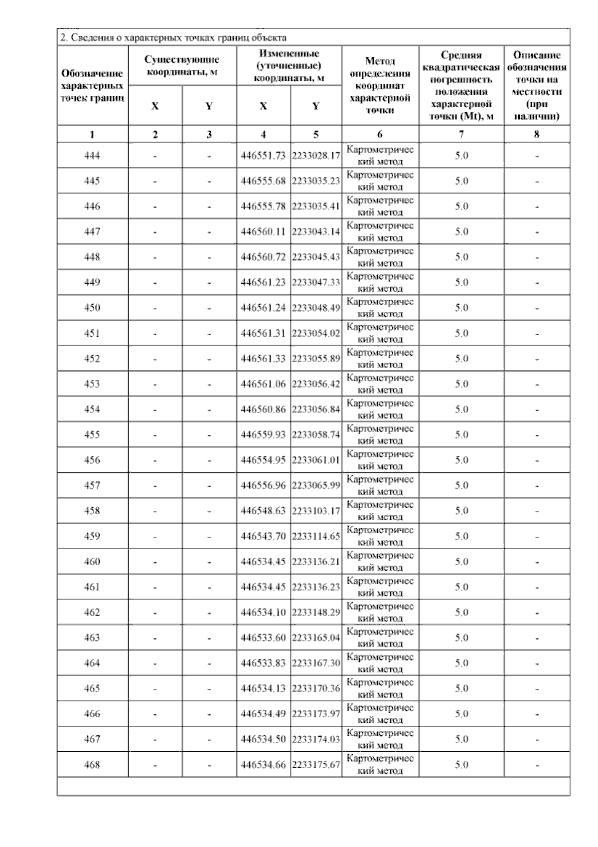
Страница №33 из 1071:
Увеличить