Официальное опубликование правовых актов
ОФИЦИАЛЬНОЕ ОПУБЛИКОВАНИЕ
Приказ Комитета градостроительной политики Ленинградской области от 22.08.2024 № 131
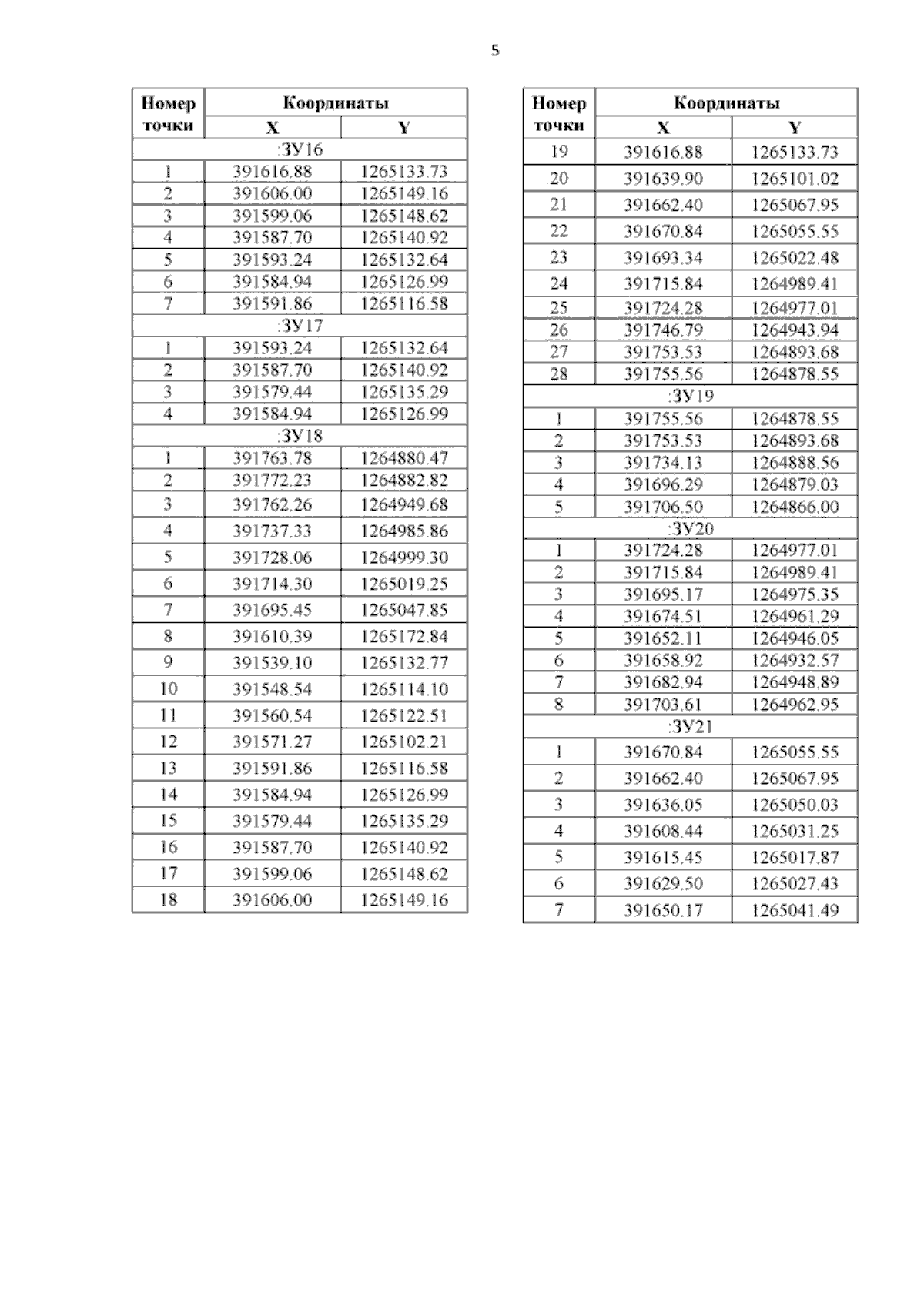
"Об утверждении проекта планировки территории и проекта межевания территории, ограниченной с севера-востока – зоной улично-дорожной сети – Т2, с запада – многофункциональной общественно-деловой зоной – О1, с юга – зоной озеленённых территорий специального назначения – С2, расположенной в д. Волково Кузёмкинского сельского поселения Кингисеппского муниципального района Ленинградской области"
(Зарегистрирован 22.08.2024 № 01-06-131/2024)
Номер опубликования: 4701202408230002
Дата опубликования: 23.08.2024
Страница №20 из 25:
Увеличить