Официальное опубликование правовых актов
ОФИЦИАЛЬНОЕ ОПУБЛИКОВАНИЕ
Приказ Комитета градостроительной политики Ленинградской области от 24.07.2024 № 115
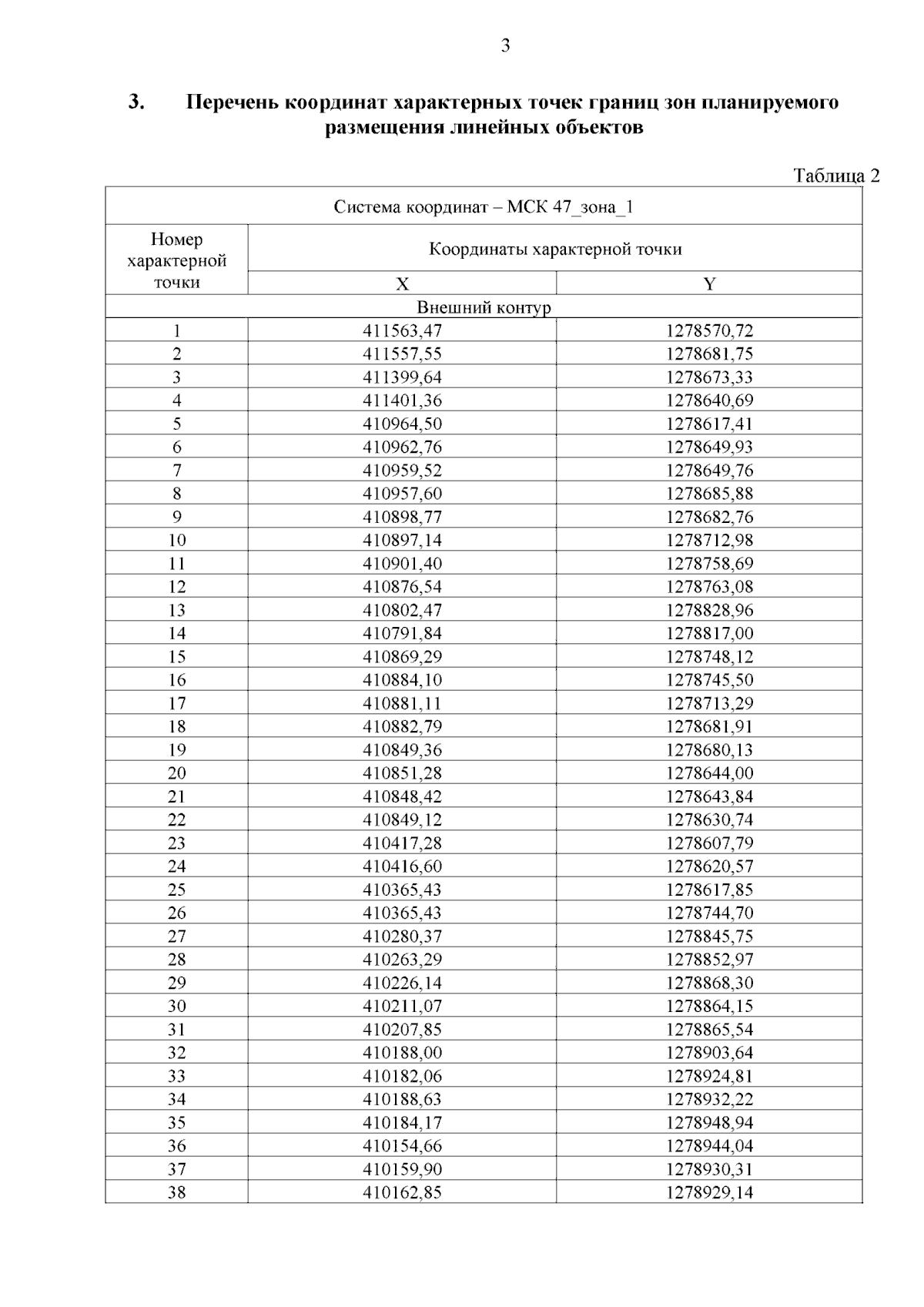
"Об утверждении изменений в проект планировки территории и проект межевания территории, утвержденные приказом Комитета градостроительной политики Ленинградской области от 23 ноября 2023 года № 173 "Об утверждении проекта планировки территории и проекта межевания территории с целью размещения линейного объекта "Аммиакопровод до терминала морского порта Усть-Луга (ООО "ЕТУ"). Перевалка аммиака", расположенного в Кингисеппском муниципальном районе Ленинградской области" и об отмене проекта планировки территории и проекта межевания территории, утвержденных приказом Комитета градостроительной политики Ленинградской области от 29 июня 2023 года № 92"
(Зарегистрирован 24.07.2024 № 01-06-115/2024)
Номер опубликования: 4701202407290006
Дата опубликования: 29.07.2024
Страница №61 из 211:
Увеличить