Официальное опубликование правовых актов
ОФИЦИАЛЬНОЕ ОПУБЛИКОВАНИЕ
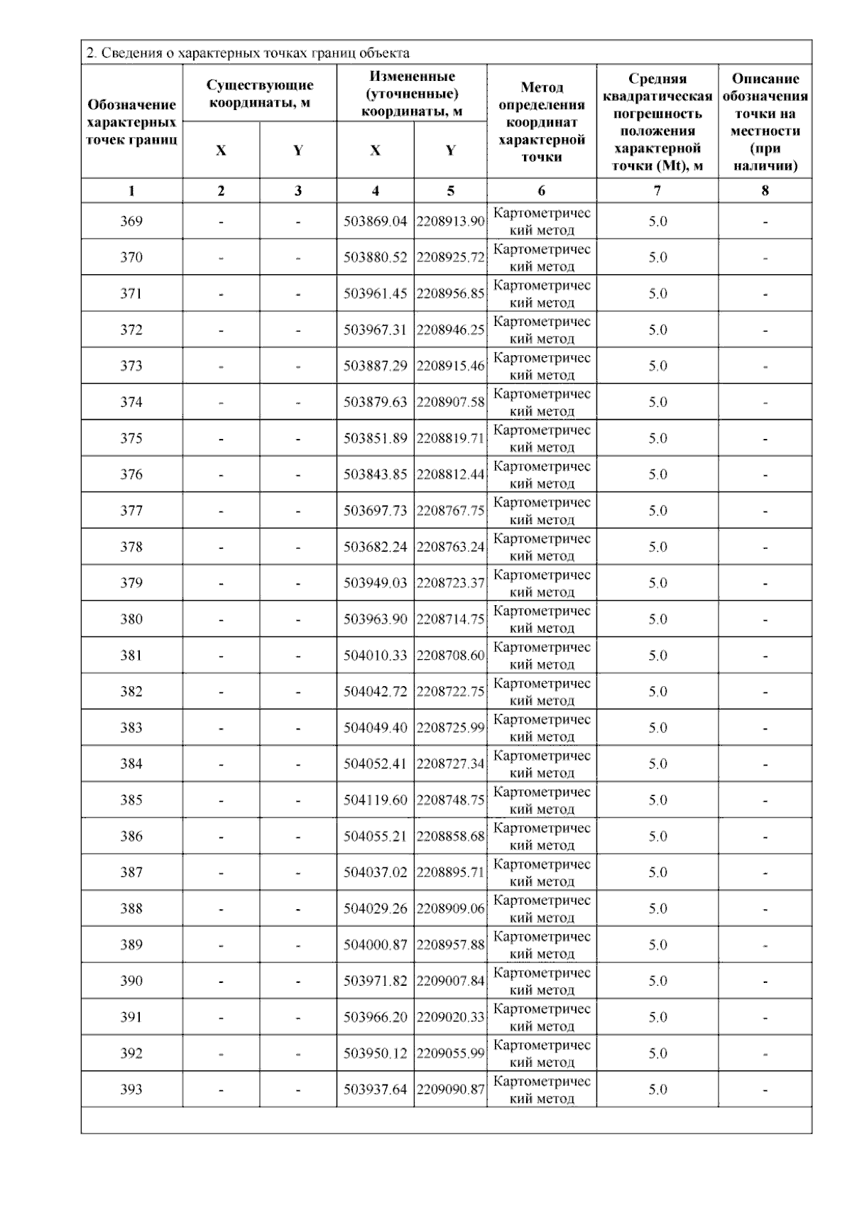
Приказ Комитета градостроительной политики Ленинградской области от 16.07.2024 № 111
"О внесении изменений в Правила землепользования и застройки муниципального образования Сосновское сельское поселение муниципального образования Приозерский муниципальный район Ленинградской области"
(Зарегистрирован 16.07.2024 № 01-06-111/2024)
Номер опубликования: 4701202407190011
Дата опубликования: 19.07.2024
Страница №25 из 59:
Увеличить