Официальное опубликование правовых актов
ОФИЦИАЛЬНОЕ ОПУБЛИКОВАНИЕ
Приказ Комитета градостроительной политики Ленинградской области от 21.06.2024 № 99
"О внесении изменений в правила землепользования и застройки Бокситогорского городского поселения Бокситогорского муниципального района Ленинградской области"
(Зарегистрирован 21.06.2024 № 01-06-99/2024)
Номер опубликования: 4701202406280002
Дата опубликования: 28.06.2024
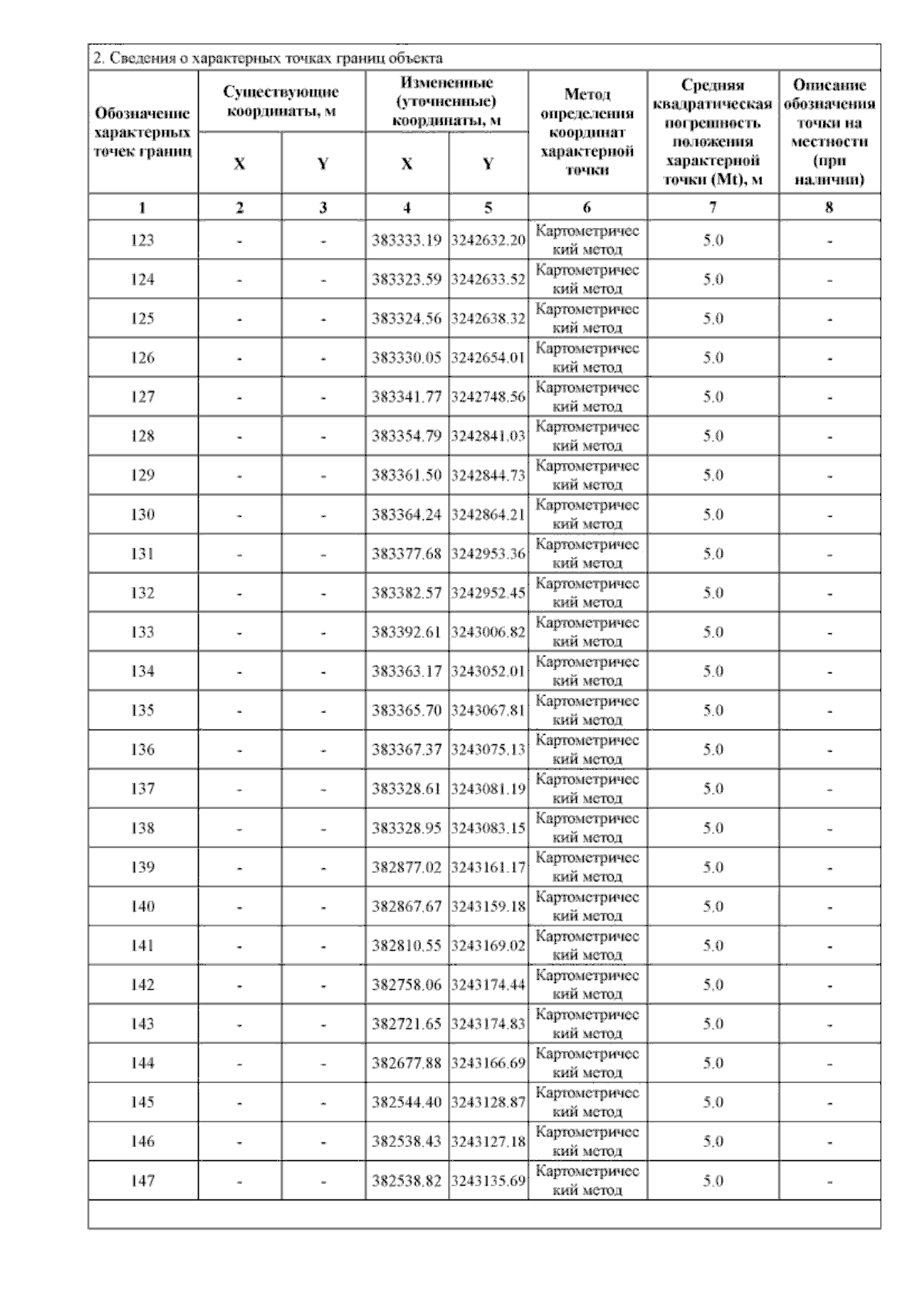
Страница №15 из 52:
Увеличить