Официальное опубликование правовых актов
ОФИЦИАЛЬНОЕ ОПУБЛИКОВАНИЕ
Приказ Комитета Ленинградской области по обращению с отходами от 03.05.2024 № 6
"О внесении изменений в приказ Комитета Ленинградской области по обращению с отходами от 17 декабря 2021 года № 19 "Об утверждении Территориальной схемы обращения с отходами Ленинградской области"
(Зарегистрирован 03.05.2024 № 6)
Номер опубликования: 4701202405070003
Дата опубликования: 07.05.2024
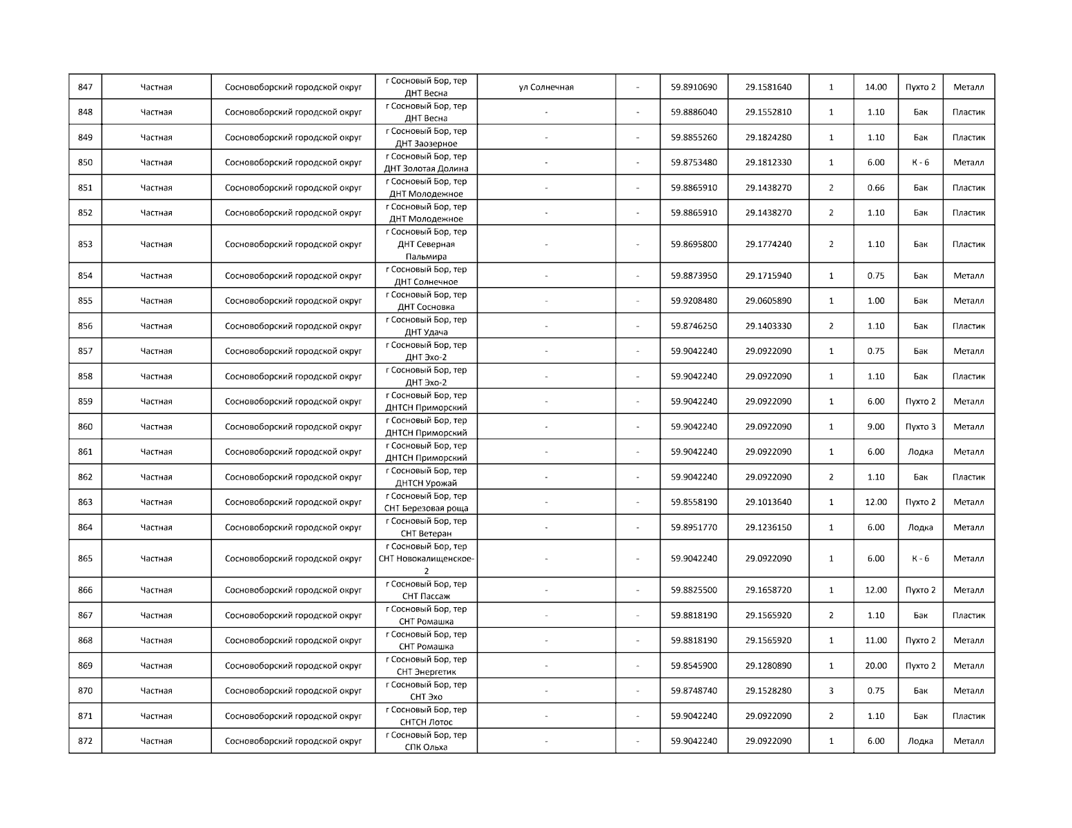
Страница №384 из 436:
Увеличить